你想准确的预测有机化学反应吗?
你想在合成路线设计中一矢中的吗?
你想学习一个客观的、以数据为基础的方法来理解化学,而不仅仅是死记结论吗?
快来加入我们,QM魔法小课堂,实现你的愿望!
小课堂第一招
今天我们开讲QM应用第一招:通过LUMO和LUMO Map来预测化学反应发生的位点。
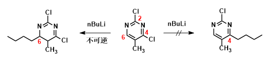
先来看个小题:我们知道一般条件下脂肪胺作为亲核试剂与2,4-二氯-5-甲基嘧啶反应会优先得到C4位的取代产物,而烷基锂试剂参与的反应则会得到C6位的产物(图一),那么你知道原因么?

图一. 2,4-二氯-5-甲基嘧啶与烷基锂或脂肪胺的亲核反应
现在我们尝试用量子力学计算(Quantum Mechanics)的方法来解释观察到的现象!
啊!听到专业术语是不是开始打退堂鼓了?觉着自己基础不够好,既不懂得“波粒二象性”也不明白“量子纠缠”,结构化学也是个渣渣,肯定听不懂传说中的QM了?
别担心,很简单,只要跟上我们的节奏,包教包会,免学费!
前线轨道理论
首先我们来温习一个基本概念。相信化学人都知道——前线轨道理论,它是分子轨道理论的一种。所谓分子轨道理论,小白一点的说法呢,就是原子们拉帮结派成为分子(即形成共价键后),它们各自的电子就不仅属于自身了,而是属于整个分子(有点类似婚后财产共有),形成了分子轨道。而前线轨道理论,则进一步提出,分子轨道形成后,也会有不同的能级。最高占有轨道HOMO(Highest Occupied Molecular Orbital),是电子能量最活泼的地方;而最低未占轨道LUMO(Lowest Unoccupied Molecular Orbital),是最空荡荡的可以接受电子的地方。而化学反应的发生,就是因为两个反应物之间的HOMO和LUMO相互吸引,进而发生电子转移,导致反应发生。
用到实例里,在亲电反应中,亲电试剂会进攻底物上HOMO值最大的地方,即电子能量最活泼的那个原子;相反,在亲核反应中,亲核试剂会进攻底物上LUMO值最小的,即最空荡荡的可以接受电子的原子。
看到这里,是不是对上边的亲核反应小题有一些想法和思路了呢?
Spartan QM 运用
接下来,我们来介绍一下QM魔法棒,也就是计算工具。现今量子计算化学大热,工具开发者很多,这里采用我们比较常用的软件——Spartan,来一点一点解锁这根魔法棒的神奇应用!
我们通过Spartan软件进行QM计算,得到亲电底物的LUMO示意图:

图二. 2,4-二氯-5-甲基嘧啶LUMO示意图
(左侧为该分子的轨道能级图,红色标注的为LUMO能级;右侧为LUMO能级下的轨道示意图)
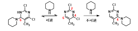
LUMO图显示了Orbital lobes,可以定性地给出反应位点。我们从上图中可以看出,C2位因为没有LUMO lobe覆盖,而C4和C6有很明显的LUMO lobe,因此只有C4与C6位会参与反应。同时,由于C6位的胺烷基化是可逆的(图三),C4胺烷基化是不可逆的,所以我们一般只会拿到C4位的主产物。

图三. 2,4-二氯-5-甲基嘧啶C4、C6位与六氢吡啶的反应产物
可能你又有疑问了,既然C4与C6位都有参与反应的可能性,那么亲核试剂换成丁基锂后,又为什么主要拿到C6位的产物呢?
这里我们再教你一招,通过LUMO Map计算,我们可以定量地比较碳原子被亲核攻击的可能性。Spartan默认设置中,红色区域的LUMO值越接近于0,越不容易被进攻;相反,蓝色区域颜色越深,则LUMO lobe更容易被接近,被亲核进攻的概率越大。

图四. 2,4-二氯-5-甲基嘧啶的LUMO Map示意图
注:LUMO Map是将LUMO的能量映射到分子形状表面。
这样,从2,4-二氯-5-甲基嘧啶的LUMO Map中(图四),我们就可以很客观地判断出C6位被进攻的概率是大于C4位的。同时,由于C6位的烷基化反应是不可逆的,所以当亲核试剂换成烷基锂时,我们会得到C6位的主产物(图五)。

图五. 2,4-二氯-5-甲基嘧啶C4、C6位与丁基锂的反应产物
好了,今天的小讲堂就到这里喽!总结来说,在亲核反应中,我们可以通过计算底物的LUMO及LUMO Map,结合亲核试剂的特性和对应反应是否可逆的基础上,预判亲核反应发生的位点。你跟上节奏了没有?可以用QM客观地分析这个不太容易理解的反应了吗?
小试牛刀
我们这里再留一个小问题供大家课后思考:
如果将2,4-二氯-5-甲基嘧啶中C5位的甲基替换成Cl,Br,CF3,CCl3… 脂肪胺的亲核反应又会发生在哪一个碳原子上呢?

用QM来回答这些问题是非常简单的哦!如果想知道答案,欢迎持续关注我们的“QM魔法小课堂”系列!
下一次,我们会详解LUMO的好基友HOMO,以及其在亲电反应中的应用,敬请期待!
参考文献:
[1] Warren J. Hehre (2003). A Guide to Molecular Mechanics and Quantum Chemical Calculations. Irvine, CA, USA: Wavefunction, Inc.
[2] J. A. Joule & K. Mills (2000). Heterocyclic Chemistry(业诚,高大彬等译)北京: 科学出版社, 2004, 223-4 页。







还木有评论哦,快来抢沙发吧~