关于BCP作为苯环的生物等排体,在药化中是非常常见的。而这篇文章的重点侧重于BCP系列分子砌块的设计与合成,结合我们日常工作中遇到的客户询单,讨论哪些分子BCP砌块将会使用频繁起来。期待大家早点开发好这类化合物工艺,让药物化学家有得用,用得起!
BCP作为对取代苯环的生物电子等排体,在药物设计领域受到广泛关注。BCP主要用于替代对取代芳烃,其桥头取代基能模拟对芳烃的180°取向,且具有独特的结构和稳定性,能改善药物的理化性质 ,但有时会影响生物活性。

1996年,Pellicciari团队首次合成BCP类似物,但当时其潜力未得到充分认识。
2012 年,Stepan团队报道的BCP类似物展现出良好的药代动力学性质,引发了研究热潮。

“Discovery of DNL343: A Potent, Selective, and Brain-Penetrant eIF2B Activator Designed for the Treatment of Neurodegenerative Diseases” 2024年发表于JMC,报道了治疗神经退行性疾病的小分子eIF2B激活剂DNL343的发现过程。研究表明,DNL343在临床前研究中展现出良好的药物特性,目前正在进行肌萎缩侧索硬化症(ALS)的后期临床试验评估。

IACS-52825是一种有效的选择性DLK抑制剂,其Kd值为1.3 nM,可用于研究化疗引起的周围神经病变。

Tilpisertib fosmecarbil(CAS No. : 2567459-64-5)是丝氨酸/苏氨酸激酶的抑制剂,具有抗炎活性,目前在二期临床阶段。
其它在研的部分活性分子抑制剂如下:

合成关键中间体:三环[1.1.1.0¹`³]戊烷TCP

Wiberg 三环[1.1.1.0¹`³]戊烷化合物6的合成是目前所有BCP衍生物分子砌块的合成最重要的中间体,由于他容易挥发,目前市面上有保存在溶液里销售,但是稳定性和安全性仍然是个问题。对于前一步的化合物7相对比较好购买。
三环[1.1.1.0¹`³]戊烷TCP与格式试剂的反应
TCP与格式试剂发生交换反应后,再与卤化物、羰基和烯丙基均可通过与合适的亲电试剂反应引入,此外,还能通过钯和镍催化,与芳基和杂芳基卤化物进行交叉偶联反应 。可以生成一端为烷基取代,在其对位再引入各种取代基的分子砌块(如卤素,醛基,酯基以及烯丙基等)。

重要取代BCP的分子砌块系列
3.1 单一取代的分子砌块:BCP-胺
和其他小环饱和分子胺一样,BCP-胺为药物设计和发现带来了新的契机。在活性分子末端结构修饰,构建立体结构,避开专利保护,药物设计者经常想用这个胺基尝试下,以期望达到想要的效果,不过目前来说这个不便宜!


3.2 对位双取代分子砌块系列

双酮化合物6:
通过光化学反应,由化合物13开始,可以得到稳定的化合物酮6,这个分子砌块是很多对位双取代基分子的关键来源。如一步氧化水解得到二酸,酯化得到二酯。
单酸单酯化合物12j:
把二酯选择性水解得到单酸单酯12j,这个关键分子砌块,经过重排反应可以得到氨基与酯基的不同双取代基的分子砌块,水解成酸12K,这类分子砌块可以通过简单的化学反应,成为分子链接剂,构建各种筛选化合物!
BCP二胺基分子砌块10I和10K
由化合物12转化过来的10I和10K,是构建DEL分子库最喜欢的双取代基(一个胺基保护,一个未保护)双官能团化合物。


3.3 含氟BCP分子砌块
分子砌块中既含氟(单氟,或者三氟甲基),又是小分子环(Fsp3参数高),也是药物设计工作者的宠儿。从以下合成路线来看,由化合物1得来的化合物16是合成一系列含氟BCP的必备中间体。

而醛基化合物11i,可能易挥发,但是这个分子砌块是合成click 反应的炔烃的有用前体。


3.4 用于click 反应的叠氮和炔烃BCP分子砌块
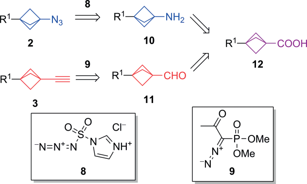
研究团队以双环戊烷羧酸为起始原料,通过两步或三步反应,高效合成了两类关键化合物:

关键反应:Seyferth-Gilbert同系化反应(使用Ohira-Bestmann试剂)。
优势:从酸出发,40%~88%收率,可放大制备。


催化反应构建BCP化合物
铱催化
光催化BCP-胺合成
该反应解决了传统方法中C3-取代BCP胺合成的多步难题,通过氮自由基与TCP的应变释放反应,高效构建BCP-胺类化合物, 且该反应适用于多种体,具有优异的官能团兼容性。

不对称烯丙基取代反应
该反应利用了铱催化剂的高选择性,通过将TCP转化为BCP-锌复合物,再与烯丙基碳酸酯反应,生成带有手性中心的BCP产物。该方法能够高效地生成具有特定立体构型的BCP衍生物,而且反应条件温和,适用性广泛。

非金属催化







还木有评论哦,快来抢沙发吧~