
安全性:大规模臭氧氧化存在安全隐患。
效率:需手性分离 (SFC纯化) 获得光学纯中间体,步骤冗长且成本高。
本研究通过优化并迭代Merk合成路线,成功研发出新一代2a盐酸盐合成方,工艺优势: 高效性:一锅法的引入简化了合成步骤,提高了整体效率,且无需手性分离。 立体选择性:通过锂螯合机制实现>99% ee,显著优于传统方法。 安全性:避免臭氧和强氧化剂,适合工业化生产。 成本效益:起始原料为商品化试剂,一锅法工艺降低生产成本。 第一代路线优化:从消旋到立体选择性



关键改进
臭氧氧化的替代方案:采用RuCl₃/NaIO₄催化氧化外环烯烃 (6→7) ,收率69%,避免了臭氧的使用。
酮的高非对映选择性还原:筛选多种还原剂,发现NMe₄BH₄在-10°C下可将中间体7还原为顺式产物8 (cis/trans=25:1) ,收率61%。

最终步骤优化:氟化 (DAST) 后经手性SFC分离,再通过LAH还原和盐酸酸化,以75%收率得到2a-HCl。
第二代路线:立体选择性合成的新突破
设计思路
通过分子内亲核环化构建吡咯并吡嗪骨架,利用锂离子螯合效应控制立体选择性。
起始原料为商品化试剂,经济易得 (33a: (R)-(-)-环氧氯丙烷,CAS No.: 51594-55-9; 34a: L-脯氨酸苄酯盐酸盐,CAS No.:16652-71-4)。
无需手性分离,直接获得高对映选择性产物。

核心步骤解析
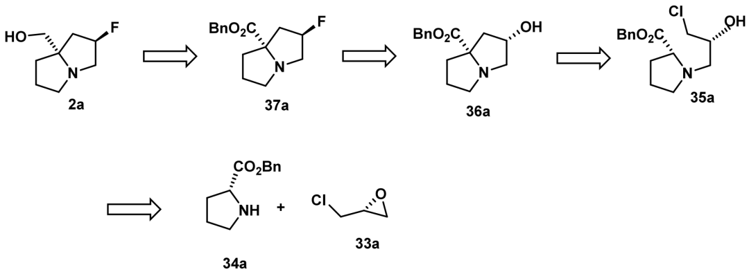
1. 环氧化合物开环+分子内环化:
(R)-33a与34a在无溶剂条件下反应,以76%收率得到35a,ee值99%。随后35a在LiHMDS/THF条件下,通过锂离子螯合中间体38,以73%收率生成顺式产物36a (ee >99%) (图a)。
值得注意的是,无论使用35a或其对映体35b,环化产物均为顺式产物36a,证实立体化学由锂螯合控制 (图b)。

(S)-33b与34a/35b的反应产物均为顺式产物36c,再次应证了该反应机理。

2. 脱氧氟化优化:
常见氟化剂 (如DAST ) 的直接氟化反应收率较低 (仅20%至30%),羟基消除副反应生成烯烃副产物44/45。
一系列反应条件优化显示,2克规模下,PBSF/BTPP/THF体系反应收率达44%,但放大至25克时收率降至35%且羟基消除副反应加剧。改用DBU碱后,105克规模反应收率提升至60%。

为减少副产物产物,课题组将羟基替换为对甲苯磺酸酯作为离去基团。筛选多种氟化试剂后发现:在乙腈溶剂中,采用Et3N-3HF/吡啶 (9:5 eq.) 体系于78℃反应16小时,50克规模下可高效制备37a (收率66%,ee >99%)。

3. 一锅法合成对甲苯磺酸酯46:
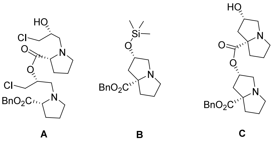
由于36a/c中间体的合成及纯化过程中会生成多种杂质 (A-C),课题组研发出一锅法直接由34b合成甲苯磺酸酯46。

在500克规模下,33a与34b (比34a更廉价) 无溶剂室温搅拌18小时,随后在-60℃ THF中加入LiHMDS,并于同一反应釜中-40℃完成对甲苯磺酰化,经酸碱后处理和硅胶柱层析后,获得产物46 (收率68%,ee 99%)。该工艺有效避免了杂质A-C的生成。

4. 最终还原:
采用LAH (1.1 eq.)/THF于0℃将37a还原得到目标醇2a,随后用4M HCl/二氧六环处理,高产率 (89%) 获得2a纯盐酸盐。
该反应也适用于其他三种异构体37b-d,以相同收率制得相应2b-d盐酸盐。
其他现有合成方法










还木有评论哦,快来抢沙发吧~