
将10g A 加入四口烧瓶(搅拌、温度计、冷凝管)中,然后加入10X 二氯甲烷,在0℃条件下向混合液中缓慢滴加1.5eq 二氯亚砜,控温45-50℃,45℃回流反应9h(过夜22h)。二氯亚砜换成草酰氯(DCM稀释后滴加),控温40~50℃反应2h原料便可消耗完全。若胺溶解性差,可加入 0.1 eq DMF 。
中控反应结束后,45℃减压浓缩得到 B 的浓缩液。然后补加10X 二氯甲烷,在0℃缓慢滴加氨水,滴加完毕后30℃反应1h,反应结束后,C 反应液静置,分出有机相(DCM),水相用 EA 萃取两遍,有机相合并旋蒸。将粗品用10X 的EA溶解,加热至45℃搅拌,缓慢滴加20X正庚烷,然后0℃搅拌1h,抽滤干燥烘干得到 C 干品。
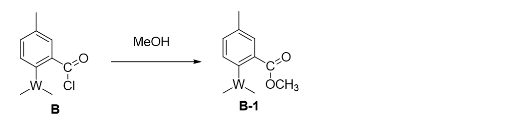
在酰氯制备酰胺反应中,酰氯需要现用现配,反应中尽量控水。如果中控需要监测酰氯,需向反应液中滴加甲醇衍生完全再监测。

在制备酰氯使用过量、高腐蚀性和强烈刺激性的氯化试剂(SOCl2或(COCl)2 )生成酰基氯,同时产生剧毒气体(即SO2或CO)作为副产物,在实验中一定要有尾气吸收装置。

溶剂:无水非质子溶剂(如 DCM、THF、DMF),避免水 / 醇类溶剂(防酰氯水解、胺质子化)。
碱的作用:中和反应生成的 HCl(常用三乙胺、吡啶或 NaHCO₃),胺可过量(1.5~2 当量)兼作碱。
温度:低温(0~5℃)启动防暴沸,视底物活性升温(位阻大需 50~80℃),全程控湿防酰氯水解。
干燥无水:酰氯密封防潮,胺 / 溶剂经分子筛 / 氢化钙除水,氮气保护防湿气。
底物配比:胺过量 10%~50% 确保反应完全;叔胺仅作碱时需额外加伯 / 仲胺。
活性调节:位阻底物加 DMAP 催化,活泼酰氯(如乙酰氯)严格控温防副反应。
芳香胺 / 弱碱胺:用强碱性条件(如 NaHCO₃)或升温促进反应。
手性底物:低温 + 弱碱防消旋(如氨基酸类)。
淬灭分离:冰水 / 稀酸淬灭过量酰氯,调 pH 中性,有机相用饱和食盐水洗、无水硫酸钠干燥。
纯化:固体产物过滤 / 重结晶;液体产物柱层析(硅胶柱,DCM / 甲醇体系)。











还木有评论哦,快来抢沙发吧~