
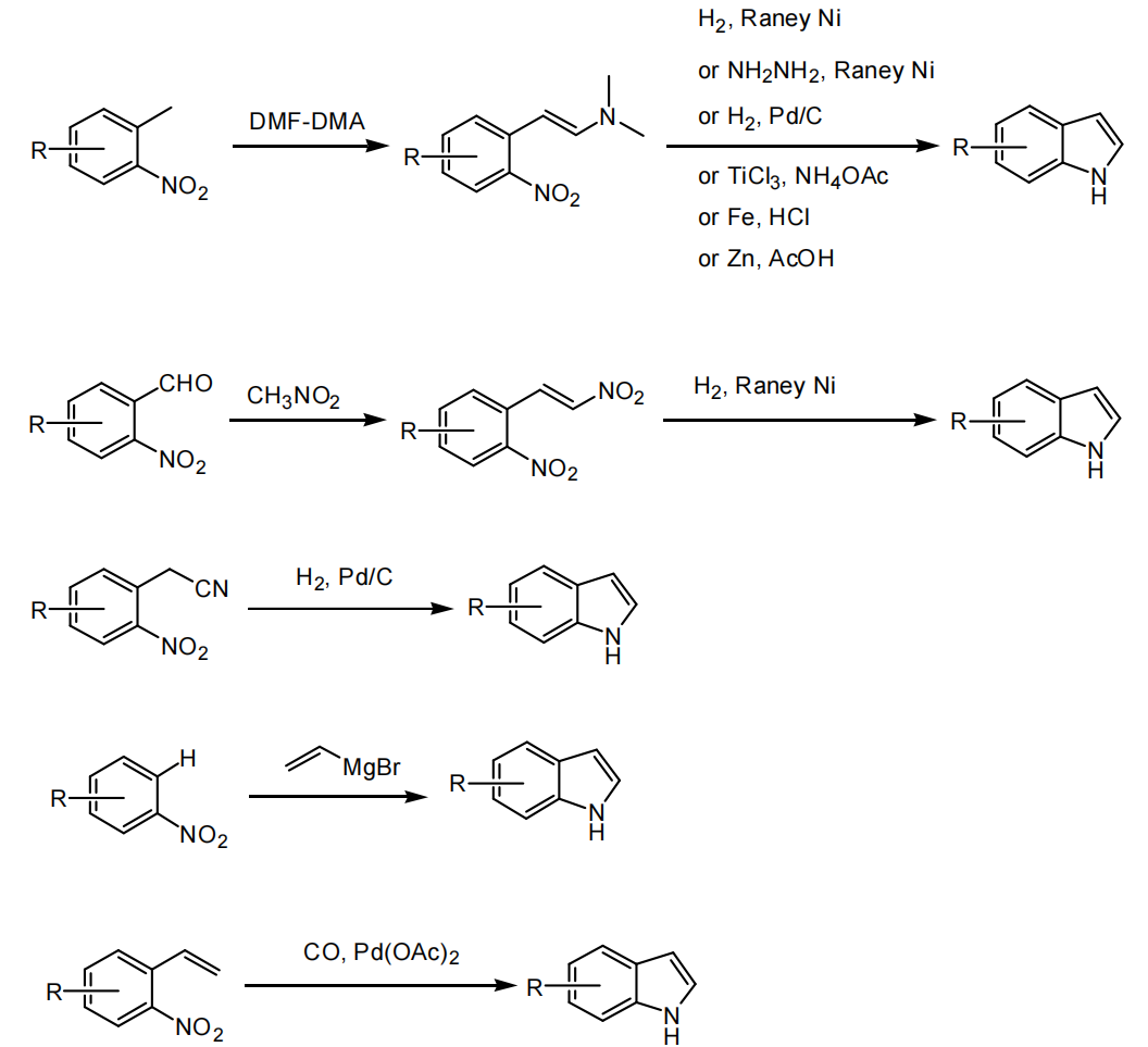
Fischer 吲哚合成法

常用的催化剂有氯化锌、三氟化硼、多聚磷酸等,常用的酸有 AcOH、 HCl、三
氟乙酸、浓硫酸、多聚磷酸(PPA)和对甲苯磺酸(PTSA)等,反应温度 50~150℃,溶剂可选乙醇、甲苯或无溶剂。当醛 / 酮含 β- 氢时可能发生副反应(如异构化),高温下可能伴随焦油状副产物。


Bartoli 吲哚合成法
1989年意大利的化学家Bartoli等人开发出了该反应,由邻取代硝基苯与乙烯基格氏试剂(如 CH₂=CHMgX)在低温下反应形成中间体,经亲核加成、还原环化生成吲哚(酸性或还原条件(如 Zn/AcOH、催化加氢)还原硝基并环化)。
常用溶剂为无水 THF(需严格除水除氧),反应温度 -78~0℃(加成阶段),后续环化需升温至室温或更高。需还原剂(如 Zn/AcOH)或催化加氢还原硝基。 专用于合成 3 - 取代吲哚(乙烯基格氏试剂提供 3 位取代基),尤其适合制备含烯烃、烷基取代的吲哚。硝基苯环上的取代基(如甲氧基、卤素)可调控反应活性。 Batcho–Leimgruber 吲哚合成法 Batcho–Leimgruber 反应由美国化学家 Arthur D. Batcho 和 Wolfgang Leimgruber 于 1971 年开发,最初用于替代 Fischer 吲哚合成法,解决其强酸条件和底物局限性问题。



该反应通过两步法实现通过邻硝基苯衍生物(如邻甲基、邻甲酰基、邻氰乙基、邻乙烯基等)为原料,经缩合、还原环化等步骤高效构建 2,3 - 无取代基的吲哚骨架。

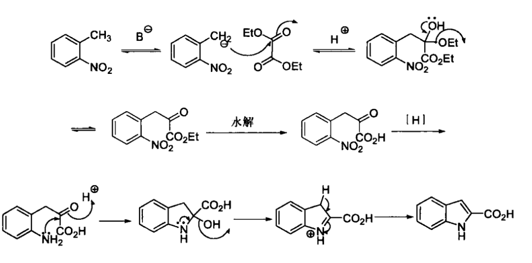
Reissert 吲哚合成
Reissert 吲哚合成是经典的吲哚 - 2 - 羧酸及其衍生物合成方法,由德国化学家 Adolf Reissert 于 1897 年首次报道。该反应通过邻硝基甲苯衍生物与草酸二乙酯在碱催化下缩合,经还原环化构建吲哚环,并在 2 位引入羧酸基团。

碱夺取草酸二乙酯的活泼 α- 氢,生成碳负离子中间体,进攻邻硝基甲苯的甲基(或邻位取代基),经亲核加成和消除反应生成邻硝基苯基丙酮酸乙酯中间体。

硝基被还原为氨基的同时,氨基对邻位的羰基发生分子内环化,消除乙醇形成吲哚环,最终生成吲哚 - 2 - 羧酸乙酯。若进一步水解酯基并脱羧,可得到无取代基的吲哚。










还木有评论哦,快来抢沙发吧~