概述

图1 天然产物中含环丁烷骨架化合物
存在于天然产物中的环丁烷亚基,从简单的萜烯(例如a-pinene)到形态奇特的梯形烷烃,这些天然存在分子不仅推进了含环丁烷亚基分子新的合成方法的开发,也引起大家对四元环的关注[1]。在经典的含环丁烷的分子中,带有六个环丁烷的立方烷是人工合成环丁烷衍生物的主要例子。快速、有效以及可预测的合成复杂性分子需要开发新的具有区域选择性和立体选择性的合成转化方法。其中,利用小环体系,尤其是环丁烷衍生物作为分子砌块越来越重要,主要因为环丁烷衍生物可通过许多可靠方法轻松获得,而且由于内在的环张力使环丁烷键的选择性裂解比较容易。环丁烷可用于开环、缩环、扩环等反应中,四元环的扩环反应,从容易获得的环丁烷、环丁烯或环丁烯酮开始,基于Wolff重排的环状酮的扩环反应早已为人所知[3]。
环丁烷衍生物在合成方面的应用
在过去的研究中,已经证实了基于环丁烯和环丁烯酮衍生物的立体选择性电环化开环的优势。1987年,Houk等人研究表明了在3-乙酰基环丁烯的开环反应中,加入软路易斯酸ZnI2有利于Z构型的二烯的生成。而加入Sn(OTf)2仅产生E构型的二烯。还可以通过电环化开环方法,由环丁烯衍生物立体选择性地制备6-取代的2,4-二烯(图2)[3]。

图2立体选择性开环


图4 缩环反应2
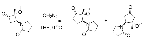
四元环系统的扩环反应中,60%的参考文献提供了利用简单易得的环丁烷,环丁烯以及环丁酮作为起始原料立体选择性合成杂环或大环的方法。这些方法对于合成五元和六元环特别重要,但是七元、八元和九元环系统也可以通过分子内或分子间扩环反应合成。Hegedus等利用重氮甲烷与β取代的α-甲基-α-甲氧基环丁酮的区域选择性扩环,以获得有价值的丁烯内酯原料(图5)。为了避免使用有毒和危险的重氮甲烷,也可以使用其他扩环方法,例如氨基醇的Tiffeneau-Demjanov重排,但Fukuzawa和Tsuchimoto开发了一种新的利用碘甲基化/重排的扩环方法,环丁酮在室温下用CH2I2/SmI2处理后扩环为环戊酮的收率很高。例如,双环[5.2.0]壬烷-8-酮用CH2I2/SmI2处理后以82%的收率得到1H-酮和2H-酮(比率97:3)(图6)[3]。


图6 利用环丁酮扩环反应2
环丁烷衍生物可用作合成无环和环状系统(包括碳环和杂双环以及低聚化合物)的原料。显然,广泛的合成应用范围是最近几十年来环丁烷衍生物的化学反应如此强劲发展的重要原因之一[3]。
参考文献:
[1] Angew. Chem. Int.Ed. 2011; 50: 7740-752.
[2] Sci China Chem.2016.
[3] Chem. Rev. 2003; 103: 1485-1537.







还木有评论哦,快来抢沙发吧~