美国亚利桑那大学(University of Arizona)的Jόn Njarðarson教授团队每年都会对世界销售额前200名的品牌药进行统计,参考这些数据,我们不难发现大多数化学药分子中至少包含一个含氮基团(氨基、酰氨基、含氮杂环等)。药物分子中修饰这些极性基团存在多方面原因,除了可以改变其物理特性,还能促进分子与特定功能蛋白(如酶、受体)的相互作用,由此发挥药物功效。而对于其中的氨基,绝大部分还需具备特定的立体构型,如何有效地构建手性胺结构便成为化学工作者关注的问题。

包含含氮基团药物分子的示例(图片来源:参考资料[2])
人们在不对称合成的研究中做出了大量的努力,但一种方法想要得到大力推广,单纯具备优异的产物收率和立体选择性往往不够,反应成本也是需要考虑的重要因素。纵观其发展历程,手性诱导方式从早期手性底物的控制逐步演化为辅基控制、试剂控制,直至近年来研究得如火如荼的催化剂控制。相比之下,借助手性催化剂设计不对称反应手性来源用量更少,用于大规模反应可明显降低成本,因而受到人们的青睐。时至今日,人们发展了过渡金属配合物、有机分子甚至半导体等多种类型的催化剂,并取得了令人满意的结果。
今天我们要为大家介绍一种用于不对称合成胺类化合物的手性试剂——手性叔丁基亚磺酰胺。尽管从反应模式来讲,其参与反应时需要使用化学计量,属于较为原始的手性辅基控制,但经过不断的改进,这种化合物的合成技术已十分纯熟,且制备成本很低,目前已得到商品化推广,并在学术研究及工业化生产中得到了广泛的应用。

叔丁基亚磺酰胺的分子结构
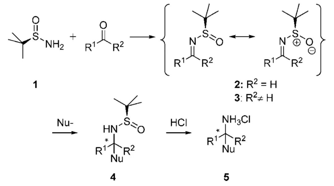
理论上讲,从手性的亚胺出发,使用亲核试剂对其非对映选择性加成,随后消除氨基保护基(手性辅基)便可得到手性的伯胺,这种经典的策略一直是人们构建手性胺结构的重要手段。然而受手性辅基本身空间及电子特性的影响,实际反应过程中存在多种问题:首先,大多数亚胺亲电活性较低,参与亲核加成的速率慢,可能伴随着直接还原或与亲核试剂(如有机金属试剂)偶联的竞争过程。脂肪族亚胺在碱性条件下还可发生烯醇化,阻碍1,2-加成反应的进行。部分手性辅基对反应的立体选择性控制并不理想,亲核试剂可从C=N双键的syn、anti两个平面进攻,最终得到两种异构体混合物。此外,亲核加成得到的胺类产物在消除氨基保护基时反应条件往往较为苛刻,其间可能发生差向异构化,甚至分解。因此,选择合适的手性辅基对有效构建手性胺结构至关重要。

亲核试剂对手性亚胺选择性加成制备手性胺(图片来源:参考资料[3])
1994年,美国天普大学(Temple University)的Franklin A. Davis教授团队经过大量的研究发现,以手性的亚磺酰亚胺作为原料合成手性胺可以规避以上问题,其中对甲苯亚磺酰基作为手性辅基不仅可有效活化亚胺,促进1,2-加成反应,还具有良好的手性诱导能力,亲核加成后只需在弱酸性条件下便可消除氨基保护基。另外,部分亚胺底物对水汽很敏感,容易分解,随着时间的推移还可能发生聚合,如何保存成为困扰人们的难题,但亚磺酰亚胺十分稳定,可长期储存。然而这种手性辅基的使用仍旧存在局限性,对甲苯亚磺酰胺仅可与特定的醛缩合,部分醛/酮无法与之反应形成相应的亚胺,因而需要通过其他手段来获取,但反应的收率也不够理想。有些亲核试剂参与反应时立体选择性不佳,有些则会直接进攻亚磺酰基。

以手性的对甲苯亚磺酰亚胺作为原料合成手性胺(图片来源:参考资料[5])
美国加州大学伯克利分校(University of California, Berkeley)的Jonathan A. Ellman教授团队长期致力于研究烯醇化物的立体选择性烷基化,1997年,他们通过固相合成手段得到了光学纯的叔丁基亚磺酰胺,这种化合物室温下呈白色晶体,化学性质稳定。作者认为,叔丁基的给电子能力比对甲苯基更强,相应的亚磺酰胺亲核性增加,因而更容易与醛/酮缩合,加之硫原子附近的空间位阻更大,亲核试剂直接进攻亚磺酰基也会得到进一步抑制,可能会弥补对甲苯亚磺酰亚胺参与反应时的不足。早年人们也发现,手性叔丁基亚砜的α位攫氢后形成的碳亲核试剂对羰基化合物加成同样比手性对甲苯亚砜的立体选择性更好。于是,他们想尝试以光学纯的叔丁基亚磺酰胺作为手性辅基来完成手性胺的合成。

以手性的叔丁基亚磺酰胺作为手性辅基合成手性胺(图片来源:参考资料[7])
果不其然,叔丁基亚磺酰胺不辱使命,可与多种不同结构的醛/酮缩合,顺利形成相应的亚胺,参与1,2-亲核加成时立体选择性进一步提高,其他副反应途径也得到了抑制。但想要将其广泛用于手性胺结构的构建,还需找到一种高效制备手性叔丁基亚磺酰胺的方法。为此,他们设计了一种两步合成手性叔丁基亚磺酰胺的方法,反应从叔丁基二硫醚6出发,使用手性Schiff碱9作为配体对VO(acac)2配位制得手性催化剂,随后以H2O2作为氧化剂,可将6选择性氧化为手性的亚磺酸硫代酯8,蒸馏提纯的8在低温下与亲核试剂LiNH2/NH3混合,重结晶便可得到光学纯的叔丁基亚磺酰胺1,两步反应的产率为68%,对映选择性达到99% ee以上。其中起始原料6为石油脱硫精炼的副产物,大有变废为宝的意味。配体9制备十分简单,V催化剂的负载量很低,H2O2也廉价易得。

手性叔丁基亚磺酰胺的制备方法(图片来源:参考资料[7])
不过,这种制备方法用于实验室少量合成尚可,工业化生产时还存在不足。第一步的不对称氧化过程涉及CHCl3与H2O两相反应体系,其受反应装置的大小及搅拌速率影响较大,扩大反应规模时可能会导致重现性差。另外,V催化剂在H2O2浓度较高时也会分解,因此需要严格控制其浓度。Schiff碱配体9以S构型的叔丁基亮氨醇作为原料制得,相比之下,R构型的叔丁基亮氨醇十分昂贵,想要合成另一种手性构型的叔丁基亚磺酰胺,必须换用其他原料。第二步反应后会产生叔丁基硫醇副产物,浓度极低时便可散发出恶臭气味,大量后处理将带来灭顶之灾,如何妥善处理这种物质也需谨慎考虑。
2003年,Jonathan A. Ellman教授对该方法作进一步改进,第一步反应的溶剂换作丙酮,体系化为均相,解决了两相反应不易扩大规模的问题。第二步将H2O2缓慢滴入反应体系,不仅可防止V催化剂分解,还可避免体系短时间内大量放热。他们还将配体换作10,这种Schiff碱从1-氨基-2-茚满醇出发制得,两种对映异构体均成本较低。而对于叔丁基硫醇,作者同样想到了解决方案,反应后在体系中加入氯乙酸,便可将其完全除去,目标产物则不受影响。目前,许多化学品供应商正是利用这种工艺实现了手性叔丁基亚磺酰胺的商品化,可以吨量级大规模生产。

手性叔丁基亚磺酰胺合成工艺的改进(图片来源:参考资料[7])
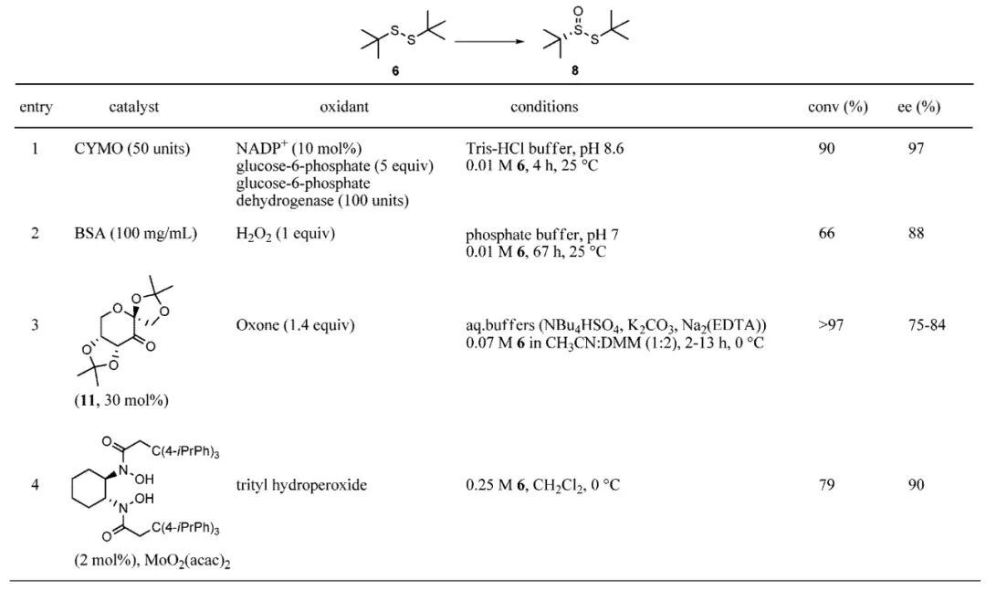
其他研究团队也相继对以上不对称氧化叔丁基二硫醚6的方法进行改进,所使用的催化剂及氧化剂如下表所示。时至今日,人们仍旧对制备这种手性辅基的工艺流程充满兴趣,还在探索其更好的改进方案,如2019年,美国勃林格殷格翰制药公司(Boehringer Ingelheim Pharmaceuticals, Inc.)的研发团队设计了第二代的手性亚磺酰胺转移试剂8,反应只需以SOCl2作为硫来源,LHMDS作为氮来源,其间不涉及极低温度的操作,反应条件更加温和,8还可以循环使用。

叔丁基二硫醚6不对称氧化的改进策略(图片来源:参考资料[7])

手性亚磺酰胺转移试剂8参与手性胺的合成(图片来源:参考资料[8])
手性叔丁基亚磺酰胺的发现历程与合成方法便介绍到这里,想来各位一定好奇这种试剂在有机合成反应中还能发挥哪些其他的作用,我们将在近期继续为大家梳理这部分内容。
参考资料
[1] Top Pharmaceuticals Poster. Retrieved from https://njardarson.lab.arizona.edu/content/top-pharmaceuticals-poster[2] Jesus Rodrigalvarez et al., Catalytic C(sp3)–H bond activation in tertiary alkylamines. Nat. Chem.2020, 12, 76.[3] Franklin A. Davis et al., Asymmetric Synthesis and Properties of Sulfinimines (Thiooxime S-Oxides). J. Org. Chem.1997, 62, 2555.[4] Guangcheng Liu et al., Catalytic Asymmetric Synthesis of tert-Butanesulfinamide. Application to the Asymmetric Synthesis of Amines. J. Am. Chem. Soc.1997, 119, 9913.[5] Jonathan A. Ellman et al., N-tert-Butanesulfinyl Imines: Versatile Intermediates for the Asymmetric Synthesis of Amines. Acc. Chem. Res.2002, 35, 984.[6] Mike Casey et al., Stereoselective Additions of Sulphoxides to Carbonyl Compounds. Tetrahedron Lett.1992, 33, 127.[7] MaryAnn T. Robak et al., Synthesis and Applications of tert-Butanesulfinamide. Chem. Rev.2010, 110, 3600.[8] Philomen DeCroos et al., Development of a Large-Scale Asymmetric Process for tert-Butanesulfinamide. Org. Process Res. Dev.2019, 23, 263.
版权声明:本网站发布的内容如果涉及侵权请尽快告知,我们将会在第一时间删除。
还木有评论哦,快来抢沙发吧~