
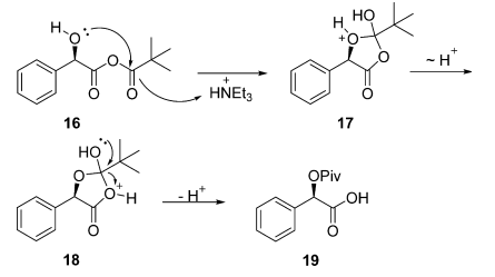
◆When R2=Piv the acylation product was 19, which was not able to be attacked by 4-nitrophenethylamine 15.

◆Considering that PivCl can act as a hydroxyl protective group, we proposed that adding excess PivCl might result in in situ protection of the hydroxyl group, followed by amidation.
◆A moderate conversion to product 10 was observed when 1.6eq of PivCl was added. However, byproduct 21 was also found in 8.2% conversion.

◆At first, it may seem that 21 was produced from 15 and excess PivCl.
◆However, only trace PivCl was detected by GC after refluxing in water implying 21 was formed via 20.
◆The only Lewis acid triethylamine hydrochloride came into view.
◆The triethylamine hydrochloride produced in the first step was removed by washing with water, and the triethylamine used as an acid scavenger in the successive acylation process was also avoided.








还木有评论哦,快来抢沙发吧~