
LUMO+1 能级与轨道
先介绍一下今天的主角之一:LUMO+1。
让我们通过对上述反应的预测与解析,来回答这个问题。
首先我们来回溯一下第一章的分析过程。

图1.不同取代基化合物A的LUMO和LUMO+1
当C5位的取代基变成三氟甲基时,LUMO轨道的分布较之前的三种取代基发生了明显变化。其中LUMO lobe延伸到了C2上,表明 C2也开始有参与亲核反应的可能性。这个底物还有两个独特之处:首先,LUMO与LUMO+1能级的能量差很接近,需要进一步参考LUMO+1能级——我们可以看见在该能级下C2上亦有明显的lobe覆盖;其次,三氟甲基和进攻C4位的亲核试剂存在空间位阻效应。因此我们推测5-CF3的化合物A会丧失亲核取代的选择性,同时获得C2和C4位的取代产物。
利用LUMO推测得出合理的反应机理
根据LUMO分子轨道的分布,我们可以判断亲核反应优先发生的位点,以此为依托,还能进一步推测出更合理的反应机理。

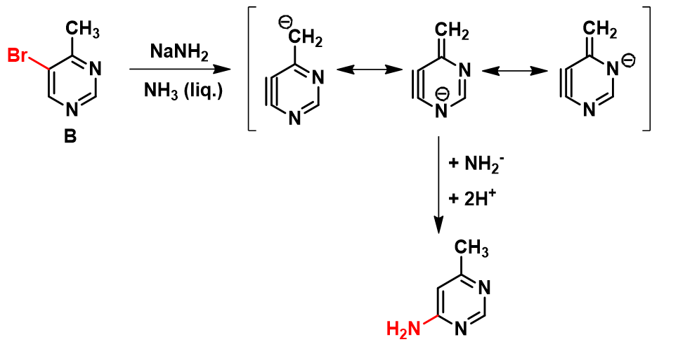
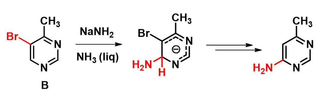
图2.化合物B的氨基化反应:生成苯炔类似物中间体
熟悉有机化学的你会不会有一种不合理的感觉?一个氨基负离子进攻一个含有负离子的活性中间体?那么,是否能有更加合理的机理解释这个反应呢?以下,让我们借助量子化学计算,尝试寻找一个更合理的解释。
这一案例同样是一个亲核反应,让我们先看一下底物本身的LUMO和LUMO map:

图3.化合物B的LUMO和LUMO map
我们可以很清晰地看到,化合物B的LUMO lobe只覆盖了C4和C6位,和溴原子相连的C5上并不存在LUMO lobe。而LUMO map告诉我们,C6位LUMO lobe更易接近,被亲核进攻的概率更大。因此,氨基负离子容易加成在化合物B的C6位上。基于此,我们可以提出一个更合理的反应机理:生成氨基负离子中间体、离去溴化氢得到最终产物,如图4所示:

图4.化合物B的氨基化反应,生成氨基负离子中间体
总结一下,对于较为复杂的亲核取代反应的底物,我们可以优先通过QM计算考虑底物的LUMO lobe分布。当LUMO+1能量与LUMO接近时,需要同时考察LUMO+1 lobe。同时,综合考虑底物的空间效应,参考底物本身的LUMO map,不仅可以帮助我们合理预测反应的发生位置,还可以让我们更准确地理解反应机理。
小试牛刀
本期我们继续留一个案例供大家思考:

大家知道,化合物C和锂化的苯丁酮化合物反应会得到C2位亲核取代的产物D。但McDonald等人在2006年的一篇发表在TetrahedronLetters上的文献[2]报告了化合物C与锂化二硫缩醛,通过远程取代(tele-substitution)反应,生成了C6位甲酰基取代的2-氯吡嗪化合物E。在此我们给出化合物C的LUMO/LUMO+1和LUMO map/LUMO+1map的图示,聪明的你一定可以推测一下上述实验结果背后的原因!

图5.化合物C的LUMO, LUMO+1能级及相应的LUMO map, LUMO+1 map
参考文献:
[1] J. A. Joule& G. F. Smith (1972). Heterocyclic Chemistry 2nd Edition. Page131.
[2] J. E. Torr,J. M. Large, P. N. Horton, M. B. Hursthouse and E. McDonald. Tetrahedron Lett. 2006, 47, 31-34.







还木有评论哦,快来抢沙发吧~