有机合成化学中,胺基保护是一个十分常见且重要的问题。其中Boc保护基,以其卓越的碱稳定性,以及高效简洁的脱除方法而备受青睐。一般脂肪族胺可以高效快捷地实现Boc保护,而亲核性较弱的芳胺则往往需要通过加热,延长反应时间,甚至加入强碱来实现Boc保护。

图1:甲醇参与芳胺的快速Boc保护
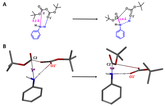
无甲醇参与的苯胺Boc保护反应模型

有甲醇参与的苯胺Boc保护反应模型

通过QM计算我们发现,在有甲醇参与的情况下,苯胺Boc保护的活化能ΔE=13.94 kcal/mol,比没有甲醇的情况低了2.28 kcal/mol (图4),这完全符合实验的结果——有甲醇参与时,苯胺Boc保护的速率会比没有甲醇时快得多。

那么问题来了!是什么原因导致这2.28 kcal/mol的能量差呢?
反应过渡态的差异

图5:甲醇不参与(TS1)或参与(TS2)芳胺Boc保护的过渡态
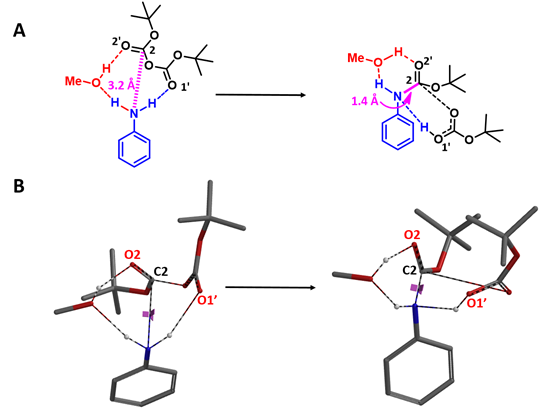
二级芳胺Boc保护的反应机理
此外,文章中提到,当反应底物为二级芳胺时,即使以甲醇为溶剂,其反应速率与一级芳胺相比却变慢了(图6A)。通过我们提出的反应过渡态可以很好地解释该现象:因为当底物为二级芳胺时,仅有一个N-H能与Boc酸酐中准备离去的羰基氧O1’之间形成氢键,没有第二个N-H与甲醇形成额外的氢键(图6B,TS3)来稳定反应过渡态。因此,即使体系内有甲醇,也无法有效降低反应过渡态的能量,加速反应。

总结一下,通过QM计算,我们对于文献中报道的以醇为溶剂,可以显著提高芳胺Boc保护速率的现象进行了解释。我们认为,甲醇作为溶剂,同时与两个反应物产生氢键作用,形成了更为稳定的六元环过渡态,降低了反应的活化能,从而提高了反应速率。此外,使用二级芳胺时,由于没有额外的N-H可与甲醇形成氢键来稳定反应的过渡态,因此与一级芳胺相比,无法提升反应速率,这进一步验证了我们建立的反应过渡态QM模拟计算的合理性。
这一案例中,我们通过QM计算模拟反应过渡态、计算反应活化能来深入地理解有机反应机理,为我们合理解释反应现象、有效解决合成工作中的实际问题提供了宝贵的经验,也希望这些分享能为大家带来更多启发。
小试牛刀
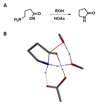
正文中我们通过QM计算模拟,阐述了甲醇通过氢键稳定反应过渡态,提高反应速率的作用。接下来,留给大家一个小问题,供您思考:有机合成中,为什么我们常使用醇类作为溶剂,在醋酸的催化下来实现γ-氨基酯的内酰胺化呢(图7)?

图7:γ-氨基酯的内酰胺化
温馨小提示
在接下来的章节中,我们会继续分享利用QM建模、计算、理解反应机理的案例,敬请期待!
参考文献:
[1] Warren J. Hehre (2003). A Guide to Molecular Mechanics and Quantum Chemical Calculations. Irvine, CA, USA: Wavefunction, Inc.
[2] T. Vilavan.Tetrahedron Lett.2006, 47, 6739 – 6742.







还木有评论哦,快来抢沙发吧~