
图1. 2,3-二氯吡嗪参与的C2、C6位亲核取代反应
怎么来解释2,3-二氯吡嗪在这两个反应中不同的位点选择性呢?2,3-二氯吡嗪与锂化二硫缩醛的反应中,C3的氯又是如何离去的呢?
接下来,就让我们一起利用第一章和第七章学到的LUMO和LUMO Map来试着分析这个反应过程吧。
利用LUMO & LUMO Map预测亲核反应位点
首先,计算2,3-二氯吡嗪的LUMO和LUMO map示意图(图2)。

如图2所示,2,3-二氯吡嗪的LUMO lobes主要位于C2和C3,C5和C6(红色)之间,而不是四个碳原子上。同时,其LUMO与LUMO+1能级的能量差只有0.65 eV,所以有必要进一步分析LUMO+1能级。可以看到在该能级下C2/C3和C5/C6都有明显的lobe覆盖,且大小大致相等。 LUMO+1 map显示,C5/C6的LUMO+1 lobes比C2/C3更加暴露于分子表面(由于Cl取代基的影响),所以C5/C6被亲核进攻的概率更大。
反应可逆性对于反应结果的影响

当亲核试剂换成锂化二硫缩醛(图4),同样,亲核试剂优先进攻C6,而这一反应是不可逆的,所以得到C6位取代的主产物。

Cl消除机理
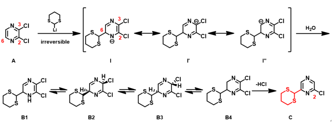
我们提出了如图5所示的反应机理。首先,2,3-二氯吡嗪与锂化二硫缩醛不可逆的生成负离子中间体I以及共振结构I’和I’’;用水淬灭后,负离子中间体获得一个质子形成化合物B,B有四种可能的结构;化合物B消除一分子HCl得到芳构化的产物C。
图5. 2,3-二氯吡嗪与锂化二硫缩醛的亲核取代反应机理

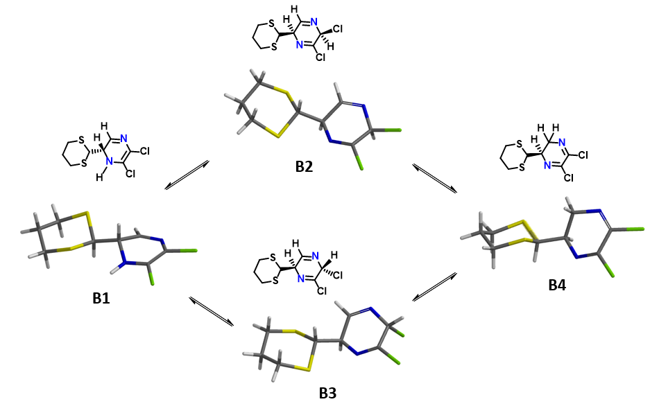
图6. B的四种可能结构及其对应的相对能量和所占比例
反应能量变化曲线计算验证反应机理
我们模拟异构体B3消除HCl芳构化过程的能量变化曲线(图7)。6位C-H之间的距离从1.096 Å到相互远离的3.096 Å,步长0.2 Å。加水淬灭反应的同时会生成氢氧根离子,它可以与C6位的酸性氢原子相互作用形成水分子。同时,处于同侧C3位假直立键的氯原子与这个水分子相互作用,最终以协同的方式离去。在HCl消除的同时,C3和C6两个碳原子由sp3杂化变为sp2杂化,分子芳构化生成化合物C。计算结果显示该过程能量快速下降,不需要克服任何能垒,表明HCl的消除应该可以顺利发生且非常快速。


图8. 异构体B2在氢氧负离子作用下消除HCl的反应能量变化曲线
总结一下,通过LUMO和LUMO map的分析,我们揭示了2,3-二氯吡嗪各个碳原子发生亲核取代反应的活性差异原因,以及与不同类型亲核试剂反应时的位点选择性。之后,进一步利用反应能量变化曲线计算,验证了HCl消除芳构化的反应机理,合理的解释了C3位的氯原子离去的原因。
小试牛刀

图9. 2,6-二氯吡嗪的LUMO/LUMO map(左)及LUMO+1/LUMO+1 map(右)温馨小提示:
下一章的魔法小课堂将为大家介绍QM在辅助理解碳酸二甲酯与不同亲核试剂反应结果方面的应用,敬请期待!
参考文献:
[1] Torr, J.E.; Large, J.M.; Horton, P.N.; Hursthouse ,M.B.; McDonald, E. Tetrahedron Lett.2006, 47, 31.
[2] Joule, J.A. & Mills, K. Heterocyclic Chemistry 5th Ed. Chichester, West Sussex, UK: Blackwell Publishing Ltd., 2010, 256.
[3] 玻尔兹曼分布函数描述了在热平衡下,分子按能量高低的概率分布。







还木有评论哦,快来抢沙发吧~