碳酸二甲酯 (DMC) 是一种低毒、环保性能优异、用途广泛的化工原料,是重要的有机合成试剂。分子结构中含有羰基、甲基和甲氧基等官能团,可替代剧毒的光气、硫酸二甲酯等,作为甲基化或酰基化试剂使用,提高生产操作的安全性,降低环境污染。
日常工作学习中,大家习惯用软硬酸碱 (Hard-Soft-Acid-Base, HSAB) 理论理解有机化学反应现象。HSAB的概念在1963年被Pearson提出[1],“硬”是指那些具有较高电荷密度、较小半径的粒子(离子、原子、分子),即电荷密度与粒子半径的比值较大。“软”是指那些具有较低电荷密度和较大半径的粒子。“硬”粒子的极化性较低,但极性较大;“软”粒子的极化性较高,但极性较小,大体上来说,“硬亲硬,软亲软”生成的化合物较稳定。2005年,Tundo课题组发表了一篇通过HSAB来理解碳酸二甲酯作为两可亲电试剂与不同底物的反应结果的文章[2]。该理论为经验性的总结,主要应用与对配合物稳定性的判别和其反应机理的解释。然而Tundo等应用HSAB理论, 显然没有充分解释他们的实验结果, 有诸多困惑之处。2011年,Mayr等发表 “Farewell to the HSAB Treatment of Ambident Reactivity”[3],该文章倡导通过系统化的方法论 (图1),来分析两可试剂的反应选择性是由热力学还是动力学控制的。

图1: 两可反应性的系统鉴别方法
受到Mayr的启发,我们发现通过考察DMC的LUMO特性以及各种亲核试剂的pKa值就足以理解DMC这一试剂的反应特性,避开了HSAB理论带来的困惑之处[4]。
作为一种两可亲电试剂,DMC可以和不同的亲核试剂反应,得到酰基化或烷基化的产物。当DMC的羰基碳受到亲核试剂的进攻时,酰基—氧键断裂,形成酰基化产物,伴随CH3O-的生成;当DMC的甲基碳受到亲核试剂的进攻时,甲基—氧键断裂,形成甲基化产物,伴随CH3O- 和CO2的生成。下面,我们会通过酚,醇,苯胺类亲核试剂作进一步阐述。

图2:DMC应用示例图
苯酚类化合物与DMC的反应

表1:不同取代基的苯酚与DMC的烷基化反应[2]
从第一章亲核反应中LUMO计算的应用知道,不论是作为甲基化试剂还是酰基化试剂,首先要考察该试剂的LUMO及LUMO Map[5]:

图3:DMC的LUMO/LUMO+1示意图和LUMO/LUMO+1 map示意图

图4:DMC与不同酚类化合物反应途径的探讨

图5:不同酚类化合物pKa值及其与DMC反应的产物情况
硫酚、硫醇以及醇类化合物与DMC的反应

表2:硫酚、硫醇以及醇类化合物与DMC的反应[2]

图6:DMC与不同硫酚、硫醇化合物反应途径的探讨
苯胺类化合物与DMC的反应
最后,我们再来看苯胺类化合物与DMC的反应。以苯胺(表3)为例:

表3:苯胺与DMC的反应[2]

图7:DMC与苯胺反应途径的探讨
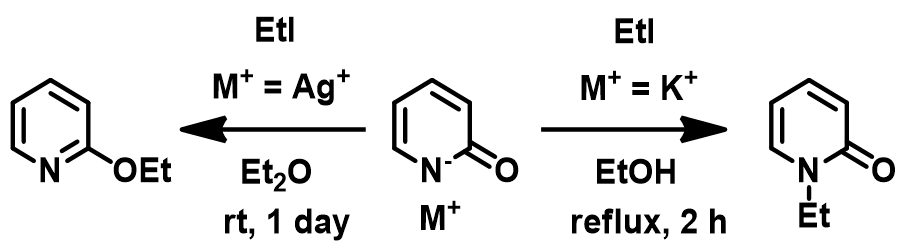
小试牛刀

图8:吡啶酮的烷基化反应

图9:吡啶酮银盐和钾盐QM电子密度图
(Isovalue: Ag+ 0.046 e/au3, 92.0%; K+ 0.030 e/au3, 92.0%)[5, 8]
温馨小提示:
下一章,我们会奉上圣诞大礼:对无量子效应的有机反应做一个全面的概述。敬请期待!
参考文献:
[1] Pearson, R.G. J. Am. Chem. Soc. 1963, 3533.
[2] Tundo, P., Rossi, L., Loris, A. J. Org. Chem. 2005, 70, 2219.
[3] Mayr, H., Breugst, M., Ofial A. R. Angew. Chem. Int. Ed. Engl. 2011, 6470.
"Farewell to the HSAB Treatment of Ambident Reactivity: We have analyzed literature reports on the regio-selectivities of these and other ambident nucleophiles and electrophiles, and we have realized that the number of cases where the HSAB principle and the concept of charge- and orbital-controlled reactions give correct predictions approximate the number of cases where they fail. For that reason, we suggest abandoning these concepts as guides for predicting ambident reactivity.”
[4] Drago, R.S. J. Chem. Educ. 1974, 51, 300-307 and references 6 – 9 cited in Mayr, H., Breugst, M., Ofial, A. R. Angew. Chem. Int. Ed. Engl. 2010, 6470.
[5] Warren J. Hehre (2003). A Guide to Molecular Mechanics and Quantum Chemical Calculations. Irvine, CA, USA: Wavefunction, Inc.
[6] a. https://organicchemistrydata.org/hansreich/resources/pka/pka_data/pka-compilation-reich-bordwell.pdf
b. https://organicchemistrydata.org/hansreich/resources/pka/#kaalcohol
c. https://organicchemistrydata.org/hansreich/resources/pka/#kathiol
[7] Breugst, M., Mayr, H. J. Am. Chem. Soc. 2010, 15380.
[8] Johnson, E. R., Keinan, S., Mori-Sánchez, P., Contreras-García, J., Aron, J., Cohen, A. J., Yang, W. J. Am. Chem. Soc. 2010, 6498.







还木有评论哦,快来抢沙发吧~