自2020年初新冠肺炎爆发以来,科学家一直在寻找有效的防治药物。
曾记否,瑞德西韦被看做是“人民的希望”长时间网络霸屏,连花清瘟胶囊一度脱销,法匹拉韦片被紧急批产,磷酸氯喹被科技部专家一致推荐纳入新冠肺炎诊疗方案,新冠中和抗体三期临床研究完成入组的消息发布让腾盛博药两个交易日累计涨幅超过60%,凭借一款mRNA疫苗让Moderna的市值迅速跃居GSK之上...人民一直在寻找防治新冠肺炎的新希望。如今,新的希望被指向了默沙东的口服抗病毒药Molnupiravir。Molnupiravir的由来,它的特点,它的临床试验,它的同类产品,对它的仿制等等问题,写意君请来同写意4位专家来分别加以分析。
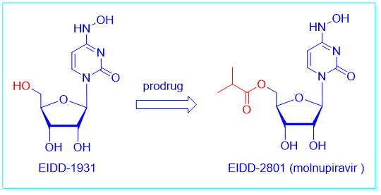
默沙东的 Molnupiravir 能战胜 COVID - 19 吗?
2021 年 10 月 1 日,默沙东宣布,他们的口服抗病毒药物 Molnupiravir 使轻中度 COVID 患者的住院率或死亡风险降低了约50%。默克公司计划在美国寻求获得紧急使用授权,并向全球其他药品监管机构提交上市申请。这是最恰当的时机。全世界有近500万人死于COVID感染。仅在美国, COVID感染者的死亡人数就超过了70 万,比 1918 年臭名昭著的西班牙流感造成的死亡人数还要多,那场流感导致67.5万美国人死亡。考虑到美国拥有全球最好的医疗资源,包括训练有素的医生和世界上最先进的医疗设备,这的确令人伤心和震惊。我个人猜想,关键因素是伪装成热爱自由的自私。拒绝接种安全高效疫苗的人过于个人主义,对社区和整个人类的关注太少。在美国独立战争期间,帕特里克·亨利著名的战斗口号是“要么给我自由,要么给我死亡!”今天,我怀疑这一战斗口号可能是“给我自由,给我死亡!”,因为超99%的COVID相关死亡者都未接种疫苗。但我还是要撇开政治领域,回到科学层面进行专业分析。位于佐治亚州亚特兰大市的Emory大学是一所小型私立学校。但在过去的几十年里,它因为几个抗病毒药物而远近闻名。药物为这所大学赚取了大量的专利使用费。上世纪 90 年代,受一种叫拉米夫定(Epivir)的药物启发,化学教授 Dennis Liotta 和病毒学家 Raymond Schinazi 发现了恩曲他滨( Emt riva )—一种 HIV 核苷逆转录酶抑制剂。最终,它在吉利德科学公司的手中“发扬光大”,并在 2003 年获得FDA 的批准。值得注意的是,在美国接受治疗的 HIV 感染者中,超过90%的人服用含有拉米夫定或恩曲他滨的药物。Emory大学获得了超过 5 亿美元的专利使用费,三位发明家获得了 40 %的专利使用费。Liotta 和 Schinazi两位教授再次用Pharmasett药厂的索非布韦淘金,这是一种抗丙型肝炎病毒NS5B聚合酶的抑制剂。2011年,尽管只有索非布韦是真正的资产,但Pharmasett的市值依然达到了70亿美元,和福泰制药(Vertex)比肩。作为创办人之一,Schinazi教授持有该公司4.4%的股份,并从这笔交易中获得了4.4亿美元。2013年底,索非布韦被FDA批准与利巴韦林联合治疗丙型肝炎,并以每片1000美元的价格售出。2013年, Emory大学成立了Emory药物发现研究所(EIDD),葛兰素史克的资深人士乔治·佩因特(GeorgePainter)担任CEO。2014年,他们通过筛选发现N-羟基胞苷(NHC,EIDD-1931)是一种抗病毒药物。但EIDD-1931太过极性,无法穿透细胞膜。为了提高生物利用度,他们在药物设计中使用了一个老把戏:制造了一种前药。将羟基转化为相应的异丁酸酯,生成EIDD-2801,在适当的时候会转化为Molnupiravir。当 Painter 和他的合作者开始测试EIDD-2801时,他们惊讶地发现该药物对许多RNA病毒显示出广谱活性,包括流感、丙型肝炎、埃博拉病毒、基孔肯雅病毒、马脑炎和冠状病毒,如 SARS-CoV-1和MERS。例如EIDD-2801对感染流感病毒的雪貂(通常用于研究人类呼吸道病毒的动物)显示出显著的治疗效果。2015年,Emory团队与Vanderbilt大学的研究人员联系,想通过研究来验证EIDD-2801能否对抗冠状病毒,而他真做到了。新冠肺炎于2020年初问世,医学界和科学界的重点迅速转移到对EIDD-2801的评价上面,将其作为全球范围内大规模药物再利用的治疗手段。2020年3月,Emory将EIDD-2801授权给迈阿密的一家小型生物疗法技术公司Ridgeback进行人体研究。讽刺的是,许多人认为Molnupiravir将因毒性太大而难以作为药物使用,因为它的同类具有诱变特性。2020 年 4 月,被特朗普解雇的美国生物医学高级研究与发展局( BARDA )局长Rick Bright 抱怨说,Ridgeback Biotherapeutics公司向他施压,要求他提供资金来制造 EIDD- 2801 ,尽管Rick Bright对它的安全性表示担忧。2020 年 5 月,Ridgeback Biotherapeutics开始与默沙东合作进行 EIDD- 2801的临床试验。默沙东给它起了一个代号:MK-4482 ,后来成为 Molnupiravir,并于 2020 年 10 月开始 II / III 期临床试验。目前,默克公司被迫终止了Molnupiravir 的临床试验。尽管该药对轻中度 COVID患者的治疗是安全有效的,降低了住院率和死亡率。但继续给入组试验的病人服用安慰剂是不道德的。于是默克现在给试验者服用Molnupiravir。现在默克将向 FDA 发出紧急使用的申请。希望审批在即!Molnupiravir的作用机制众所周知:就像吉利德的瑞德西韦一样,Molnupiravir通过阻断RNA聚合酶(RdRp)的合成来杀死冠状病毒。Molnupiravir被口服后很容易被血浆酯酶代谢成活性药物EIDD-1931。它可以以两种形式存在:一种形式是模拟胞苷,在碳和N-OH基团之间形成单一键;另一种形式是模仿尿苷,在碳和N-OH基团之间形成双键。这两种形式被称为互变异构体,它们之间的转换会导致转录过程中的不匹配。因此,当病毒在EIDD-1931存在的情况下生长,其RNA依赖的RNA聚合酶以尿苷而非胞苷的形式读取该化合物,从而将尿苷替换成胞苷。总之,EIDD-1931通过干扰RNA的合成而起作用。在病毒RNA合成的过程中,该分子的掺入会导致随后的碱基对误读,造成高突变率,最终导致基因组死亡。因为该药物迫使冠状病毒在复制时犯了很多错误,病毒便无法合成。因此有些人担心它有致突变性,对人类有潜在风险。然而,默克公司的综合测试表明,高剂量的药物不会对动物产生诱变作用,3期临床试验也没有发现其对人类有致突变作用。现在,默克公司已经证明,Molnupiravir是安全有效的,它改变了我们与冠状病毒的斗争的方式。首先,它是一种口服药,比起瑞德西韦和中和抗体要方便很多。第二, Molnupiravir可以对抗多种病毒,这意味着它还可以用于治疗其他病毒感染型疾病。第三个也是最耐人寻味的特点是:Molnupiravir似乎对耐药有一个高屏障力。通常一个药物会迫使病毒迅速发展出不受药物影响的突变体,然后使这个药物失效。在实验室测试中,尽管“期待”产生突变体,但并没有发现Molnupiravir促使动物产生耐药性,这意味着 Molnupiravir对所有变种有效,包括Delta变异毒株。辉瑞的 PF-07321332 紧随其后, II / III 期临床试验于 2021 年 9 月初开始。与 Molnupiravir不同,PF-07321332抑制冠状病毒的3CL蛋白酶。据推测PF-07321332也是一种CYP3A4底物,这就是为什么它可以与艾伯维的利托那韦共同服用,以提高其口服利用度。同时,Atea Pharmaceuticals与罗氏合作开发了AT-27 。AT-27和瑞德西韦一样可以抑制依赖 RNA 的 RNA 聚合酶生成。但它对病毒非结构蛋白-12 ( NSP 12 )聚合酶也有一定活性。AT- 27在研发管线的更远处。无论如何,Molnupiravir 的成功是世界迫切需要的重大利好消息。通过疫苗和口服抗病毒药物的组合,我希望在不久的将来能战胜冠状病毒这个看不见的敌人。耐药慢,生产成本低
---Malnupravir的成功是核苷类抗病毒药物的又一胜利Malnupravir有望成为了第一个被批准上市的口服抗新冠病毒药物,这也是核苷类抗病毒药物又一验证和胜利。在多种重大病毒如HIV, HBV,HCV等疾病治疗中,核苷类抗病毒药物无疑是最重要的一类抗病毒药物。一般来说,病毒的聚合酶相对于病毒表面蛋白来说,更不容易突变,核苷类抗病毒药物的结合位点是聚合酶的活性区域,因此核苷类抗病毒药物耐药产生相对较慢,这也是瑞德西韦和Malnupravir对多种变异株仍包括Delta、Gamma和Mu等突变株具有高抑制活性的原因。与瑞德西韦(Remdesivir)相比,Malnupravir另外的一个重要优势是它的结构更为简单,没有复杂的磷脂前药部分(Protide), 合成路线更为简单,它可以通过廉价的胞嘧啶通过简单氨基转化获得,易于快速大量生产,生产成本也更为低廉。鉴于新冠未来可能的不断变异以及新RNA病毒造成的新疫情的可能出现,针对潜在RNA病毒,提前布局广谱的抗RNA病毒药物是一个重要策略。由于RNA病毒复制的关键聚合酶(RdRp)结构上的相似性,开发广谱抗RNA病毒的药物极具可行性。
正确的临床研究方案是Molnupiravir的III期成功的关键
李宾
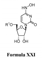
同写意新药临床研发特约撰稿人,珠海泰诺麦博生物技术有限公司临床副总裁从网上的资料看,Molnupiravir临床试验设计中特别的亮点是:入排标准为实验室确诊的轻度至中度COVID-19,至少有一个与病重相关的危险因素(如肥胖、年龄>60岁、糖尿病和心脏病),并且症状出现在随机化前5天内。主要疗效指标是随机分组后29天内住院/或病死的百分比。这才是真正的临床获益。回顾一年前在中国开展的瑞德西韦的临床研究,那项研究分为了轻症和重症两个组。与Molnupiravir的临床研究相比,瑞德西韦的临床研究的重症组的入选标准就是MolnupiravirIII期临床研究主要评价指标。从临床的角度看,到了重症阶段,抗病毒药的使用已经太晚了。而瑞德西韦轻症组的主要评价指标是为临床恢复时间。但临床恢复时间的长短并不重要,是否转为重症,或导致住院,才是关键。从网上得到的信息看到,临床前研究表明,Molnupiravir对新型冠状病毒体外比瑞德西韦活性更强,并且对瑞德西韦耐药的冠状病毒依然有效。其在Vero细胞系中对新型冠状病毒SARS-CoV-2的IC50为0.3uM,效果强于瑞德西韦的0.77uM。虽然Molnupiravir比瑞德西韦活性更强,但并不能说明瑞德西韦无效,在安全性允许的情况下,加大瑞德西韦的剂量就可以了。临床研究的目的是通过合理的设计,在受试者安全的前提下将产品的疗效体现出来。默沙东在Molnupiravir方案设计上完全摆脱了既往瑞德西韦方案的影响,这也是Molnupiravir研究成功的关键。2、Molnupiravir III期临床试验成功的因素分析首先,Molnupiravir研究选择了正确的受试者。对新冠肺炎这种病毒感染,抗病毒治疗一定要及时。这一点同流感的抗病毒治疗是相似的。Molnupiravir选择了出现症状5天以内的受试者。一旦错过了最初的抗病毒窗口,新冠肺炎的症状主要是由机体的免疫反应导致,患者体内有没有病毒已经不重要了。同时,由于新冠病毒在健康的年轻人中造成的住院和死亡率很低,所以,选择了高龄、肥胖、合并有其他基础疾病的受试者。这些受试者中新冠感染后住院率和死亡率较高,选择这样的受试者可以减少样本量。从III期研究的结果来看,安慰剂组377例患者中,有45例住院,8例死亡,死亡率为2.12%,这样的死亡率也是高于健康的年轻人的死亡率的。其次,Molnupiravir研究对主要评价指标的选择也是非常慎重的。首先,住院率和死亡率是属于临床获益,是Molnupiravir疗效的直接证据。同时,Molnupiravir研究并没有单用死亡率作为主要评价指标。因为死亡率较低,通过死亡率计算出来的样本量会比较大。例如,以对照组2.12%的死亡率来估计的话,需要将试验组的死亡率控制在0.3%才可以得出1550的样本量,这无疑是一个挑战。而且本研究是按Adaptive Design的方法设计的,由于a值的消耗,需要将死亡率控制在更低的水平。从试验的结果来看,试验组385例患者,0死亡;安慰剂组377例患者,8例死亡。这个结果是十分幸运的。如果试验组385例患者中有1例死亡,两个治疗组仍然会有显著性差异,但一旦出现了2例死亡,P值就大于0.05了,中期分析就失败了。所以,将住院率和死亡率合并计算,加大了研究总体的把握。根据中期分析的数据,试验组385例患者中住院和死亡的有28例,安慰剂组377例患者中住院和死亡的有53例。即使试验组再增加8例住院患者,也就是增加到36例,仍然可以得到显著性差异的结果。所以,这样的设计是一种比较稳妥的设计。第三,采取了Adaptive Design的方法,用中期分析的结果进行申报。Adaptive Design本身中期分析会消耗a值,万一中期分析结果没有显著性差异的话,会让最终的分析面临更大的挑战。而且,如前文所述,Adaptive Design本身也会导致总样本量的增加。这是Adaptive Design的风险所在。但默沙东的研发人员通过风险分析,做出了正确的决定,让药品的审批大大提前了。跟瑞德西韦类似的是,Molnupiravir也基于一个已知的核苷类抗病毒化合物。埃默里大学发现EIDD1931化合物可以作为广谱抗病毒药物阻止多种RNA病毒复制,包括流感病毒、SARS和MERS病毒、埃博拉病毒以及呼吸道合胞病毒等。不过不像瑞德西韦那样,尽管吉利德申请了化合物专利,但抑制新冠病毒的用途专利却被武汉大学捷足先登,埃默里大学在2020年已经低调的申请了优先权申请,并且在2021年2月提出了PCT国际专利申请。1、Molnupiravir抑制新冠病毒的用途专利最新的Molnupiravir抑制新冠病毒的用途专利公开号:WO2021159044A1,发明名称:N4-hydroxycytidine and derivatives and Anti-viral uses related thereto(N4-羟基胞苷及衍生物和与其相关的抗病毒用途)要求保护用于治疗新冠肺炎感染的药物组合物,其中活性成分即为式XXI的化合物
实施例中验证了EIDD-1931,及其异丁酸酯前药EIDD-2801(即Molnupiravir化合物)等抑制新冠病毒的活性。这件专利的申请日是2021年2月7日,基于三件美国优先权专利,分别于2020年2月7日,3月11日,3月25日提出。目前这件专利还没有进入中国。如果授权,保护期会到2041年2月。Molnupiravir化合物的专利中国同族公开号CN111372592A,发明名称:N4-羟基胞苷及衍生物和与其相关的抗病毒用途。这件专利要求保护的是EIDD-1931的前药EIDD-2801,目前正在实质审查过程中。用作对比文件评价该专利创造性的正是Molnupiravir原始化合物专利CN107427529A。如果能够授权,保护期要到2038年。而Molnupiravir化合物专利中国同族公开号CN107427529A,发明名称:N4‑羟基胞苷和衍生物及与其相关的抗病毒用途。目前这件专利已经于2021年7月28日被驳回,申请人如果提出复审请求最迟于2021年10月28日之前提出。不出意外,这件专利还是要经历复审过程。如果具体化合物能够授权,保护期要到2035年。3、目前国内企业在Molnupiravir领域开始专利布局已经公开的信息可以看到:杭州科巢生物科技有限公司申请了一种抗病毒药物Molnupiravir的制备方法,以及一种Molnupiravir晶型A及其制备方法;南京桦冠生物技术有限公司申请了一种4-肟-5`-(2-甲基丙酰基)尿苷的制备方法;安徽贝克联合制药有限公司申请了一种核糖核苷类似物的多晶型物、其制备方法及应用;成都大学申请了Molnupiravir含量及有关物质的检测方法。
版权声明:本网站发布的内容如果涉及侵权请尽快告知,我们将会在第一时间删除。
还木有评论哦,快来抢沙发吧~