氟原子具有最大的电负性和除氢外最小的原子半径,这就决定了其具有一些独特的理化性质。由于氟原子独特的电负性、电子效应和空间位阻效应,有机氟化学的反应往往显示出与常规有机反应不同的特征和规律,因此具有独特的学术研究价值;另外含氟有机化合物普遍呈现出一些独特的理化特性,例如高度物理和化学稳定性、氟碳相以及独特的生物活性,这就决定了其在材料、医药以及能源等领域的广泛应用。据统计,全球20–25%的医药和30%的农药分子中含有至少一个氟原子,目前高端特种材料中近一半为含氟材料。


氟位于元素周期表第二周期第七主族,具有最大的电负性和除氢外最小的原子半径,另外,C-F键具有较高的键能。氟元素在地壳中的含量排第十三位,是地壳中含量最丰富的的卤族元素,但主要以无机盐(CaF2等)的形式存在,自然界中的有机氟化合物含量十分少,目前已知的不超过二十个,几乎目前所有常见的有机氟化合物皆由人工合成而来。自然界有机氟化合物难以形成的原因可能有两个:一是氟原子主要的存在形式CaF2等无机盐在水中溶解度极低,难以发生化学反应;二是氟负离子容易发生水合作用,亲核性大为降低。

有机氟化学的蓬勃发展离不开其在材料领域的广泛应用,近代氟化学的一个重要转折点是“曼哈顿计划”,造原子弹的铀-235富集离不开氟元素(气体扩散法),由铀-235组成的六氟化铀气体分子量小,通过扩散膜的比例稍大于由铀-238组成的六氟化铀分子,而“塑料王”聚四氟乙烯则可以用于原子弹、炮弹等的防熔密封垫圈。含氟塑料、含氟橡胶以及含氟涂料中的很多品种都是高端材料,具有十分优异的耐高温、抗寒冷、耐酸耐碱等性能,在耐极端条件下被广泛使用。
氟对生命科学十分重要,在药物化学中,引入氟原子可以调节药物分子的亲脂性、pka、构象以及生物利用度。氟原子具有很强的吸电子的能力,因此能够降低所连芳环的电子云密度,增强分子的抗氧化能力,在药物分子中通常利用这一性质来提高代谢稳定性。另外,氟的同位素18F由于合适的半衰期在PET成像技术中应用越来越广泛。

虽然有机氟化合物在生命体系中的存在感极低,然而一些全氟化合物具有携带氧和排出二氧化碳等血液功能,并且很容易从生物体内排出,全氟碳化合物作为人造血液在医疗上至今仍在使用。1996年,美国辛辛那堤医院克拉克教授,意外发现一只老鼠掉进了白色的全氟三丙胺溶液中几个小时之后,竟然像鱼一样在那白色溶液里欢蹦乱跳,这一发现轰动了整个医学界。因为这种化合物的分子中,只有氟原子和碳原子,故又名“氟碳人造血”。

有机含氟化合物的宏观物理性质是由其微观分子结构和分子间相互作用等因素决定的,C-F键具有较低的HOMO和LUMO能级,这就决定了其“易还原,难氧化”的反应性特点。由于C-F键的HOMO能量低,说明原子核对价电子束缚作用强,电子云分布不易受外界影响,即可极化能力弱。可极化能力直接对分子间作用力产生影响,间接影响有机氟化合物的沸点、溶解度、脂溶性、表面张力和介电常数等宏观物理性质。
沸点:含氟有机物与非氟类似物相比沸点通常要低,沸点一般与分子间作用力有关,而含氟化合物可极化能力差,分子间作用力弱。

溶解度:除水相和有机相外,全氟化合物具有独特的“氟碳相”,全氟化合物和其他化合物分子间相互作用力弱,因此能自成一相。含多个氟原子的有机物在全氟溶剂中溶解度较好,氟碳相化学在催化剂回收、含氟化合物分离等领域中应用广泛。另外,含氟溶剂对气体的溶解能力要强于常规溶剂。

脂溶性:氟原子能提高有机化合物的亲脂性,在很多文献中都有出现这句话,然而这句话不全对。一般来说,连在sp2碳上的含氟基团能提高亲脂性,而与sp3碳相连的含氟基团会降低亲脂性。另外,与杂原子或共轭体系相连的含氟基团也能提高亲脂性。
表面张力:促使液体表面收缩的力叫做表面张力,含氟化合物大多能降低表面张力。氟碳表面活性剂具有高表面活性,高热力学和化学稳定性,在诸多领域都有应用。


键能:C-F键是最强的化学键之一,并且随着碳上所连氟原子数目的增多C-F键会增强。

电荷分布:由于诱导效应,氟原子一般是吸电子官能团,但由于共振有时会表现出给电子特征。

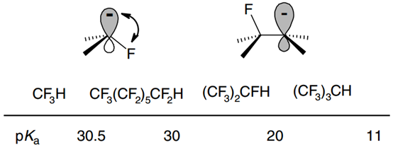
pKa:由于氟原子的强吸电子效应,含氟化合物的酸性会增强,pKa值降低。
氢键效应:由于氟原子的低可极化性,H…F之间的作用力较弱,氟相关的氢键作用一般只存在于分子内。
碳正离子稳定性:氟原子电负性强,对于β-碳正离子总是去稳定化,而对于α碳正离子除了去稳定化的诱导效应,还存在稳定化的反馈效应,氟原子上的孤对电子能反馈到碳正离子的空轨道,使其稳定。

碳负离子稳定性:由于诱导效应,氟是稳定碳负离子的,氟总是稳定β-碳负离子的,然而对于α-碳负离子,氟的反馈效应使其去稳定化。


自由基:含氟自由基一般为缺电子自由基,氟能显著影响碳自由基的立体结构,如甲基自由基是平面结构,而含氟自由基为角锥结构。
α-消除:碳负离子α位存在氟等杂原子时,由于负超共轭效应,会自身发生α-消除得到卡宾,例如三氟甲基负离子自身易转变为二氟卡宾,TMSCF3在NaI存在下是很好的二氟卡宾试剂,而陈试剂FSO2CF2COOMe在Cu催化下也能实现高效的三氟甲基化反应。
β-消除:碳负离子α位存在氟等杂原子时,容易发生β-消除反应得到烯烃,故含氟烯烃易发生加成-消除反应。
芳环上的C-F键:芳环上C-F键的官能团化反应在药物分子合成中常被使用,相对其它C-X键,氟的吸电子能力更强,可以稳定芳香亲核取代过程中形成的芳基负离子中间体,反应更易进行。

烯基C-F键:从烯基C-F键转变为烷基C-F键在能量上是有利的,如下图的cope重排反应等等。

位阻效应:尽管氟原子具有除氢外最小的原子半径,但其半径略小于氧,三氟甲基的体积介于异丙基和叔丁基之间。


本文介绍了氟原子的基本特性、含氟化合物的宏观物理性质、电子效应以及反应性,氟的一切特性皆源于其分子结构。氟原子具有最大的电负性,较低的HOMO和LUMO轨道,这就决定了氟原子的电子云难极化,导致了其一系列独有的理化特征。
需要注意的有以下几点:
①氟原子可极化性弱,属于比较“硬”的物种;
②C-F键难氧化、易还原;
③氟原子的α和β消除效应;
④芳基氟易被芳香亲核取代,烯基氟容易发生加成消除反应;
⑤含氟化合物分子间作用力弱;
⑥引入氟原子不一定能增强亲脂性。
参考文献:
[1] Bioorganic and Medicinal Chemistry of Fluorine. By JeanPierre Be´gue´ and Danie`le Bonnet-Delpon. John Wiley & Sons, Inc., Hoboken, NJ. 2008 (该书系统总结了氟化学在生物医药领域的应用)
[2] Chem. Soc. Rev., 2008, 37, 308–319










还木有评论哦,快来抢沙发吧~