药物特质性毒性反应能够引发严重的药物毒副作用甚至危及患者生命。含有警惕结构的药物在体内能够产生活性代谢物, 这是药物发生特质性毒性反应的一个重要原因。优化药物分子中的警惕结构以及通过结构改造避免警惕结构产生活性代谢物, 是药物早期研发中降低药物毒性风险的重要手段。
本文通过比对上市与撤市药物, 运用实例阐述降低药物毒性风险的结构改造策略, 包括封闭代谢位点、改变代谢途径、降低警惕结构反应性、生物电子等排以及前药等。
正文
药物毒性是中断药物研发的重要因素之一, 同时也是上市药物受到黑框警告甚至被召回的常见原因。统计数据表明, 在美国每年约有10 万人死于药物毒性。药物研发中缺乏准确的药物安全性评价,也使制药公司承受巨大的经济和名誉损失。拜耳公司的“西立伐他汀”事件和默沙东公司的“罗非昔布”事件都是近些年发生的惨痛案例。因此, 降低药物毒性风险是药物研发阶段的首要目标。
药物产生毒副作用的主要原因包括两个方面:一方面是由于药物的脱靶作用 (off-target), 即由于药物分子本身能与体内多个靶标相互作用, 在同非目的靶标过量结合后, 产生药理副作用, 称为A 型毒副作用; 另一方面是由于药物分子本身结构的特殊性, 引发药物特质性毒性反应 (idiosyncratic adverse drug reactions), 这类副作用难以预测, 产生的后果也更加严重, 称为B 型毒副作用。
一般而言, A 型毒副作用可以通过药理学研究进行分析预测, 所以在临床前研究阶段就可以判断候选药物是否适合进一步研究。而B 型毒副作用由于其产生机制复杂, 通常在药物临床研究阶段甚至上市使用以后才能被人们准确认知。因此, 减少候选药物的B 型毒性风险是先导化合物结构优化的重要方面。
B 型毒性风险产生的重要原因是药物分子结构在体内能够代谢成反应性强的活性结构。因此, 对化合物进行结构改造是减少B 型毒性风险的重要策略。
对大量上市药物的代谢途径进行总结, 产生B 型毒性的药物分子通常含有某些特定结构, 能在体内代谢生成活性代谢物质, 引发级联反应, 产生毒性。这些结构也被称之为警惕结构 (alert structure), 以期在药物研究过程中能够避免使用或者通过合理的先导化合物结构改造降低毒性风险。
本文介绍了近年来对活性代谢物引起毒性的研究; 从化学结构出发, 将近年来报道的警惕结构进行分类; 通过列举上市药物避免毒性的成功案例, 深入探讨规避药物毒性的结构改造策略, 以期能够为安全药物的设计与开发提供参考。
1
活性代谢物产生毒性的原因
活性代谢物 (reactive metabolites, RM) 是指药物进入人体后, 经过体内代谢酶系代谢, 产生反应活性强、易与体内生物大分子结合的活性代谢物。
自1938 年Fieser第一次发现活性代谢物具有致癌副作用, 人们对于反应性代谢物进行了大量研究。虽然目前尚没有直接证据表明活性代谢物就是产生药物毒性作用的主要原因, 但是已经有大量研究间接证实了活性代谢物 (特别是亲电性活性代谢物) 能够诱发药物的毒副作用产生 (图1)。
随着药物代谢动力学学科的发展和一些高灵敏检测技术的日益成熟, 已经成功检测出多种活性代谢物质与蛋白质的共价复合物, 但是由其引起下游靶标的生物学反应仍在深入研究中。目前研究推测活性代谢物主要从以下四个方面引发药物的毒性。
1.1 半抗原学说
药物进入体内后, 活性代谢物与生物大分子共价结合成为异源蛋白, 在体液循环中与抗原特异性T-细胞表面受体(antigen-specific T-cell receptors) 结合, 被免疫细胞识别, 从而引起体内免疫反应而产生毒性。
磺胺类药物 (如磺胺甲噁唑) 容易产生皮疹、肝炎、肾炎等毒副作用, 在产生毒副作用的患者体内检测到药物诱导的T-细胞免疫反应佐证了上述假设。
1.2 过氧化作用
人体细胞内有许多活性氧物质 (如氧化酶、过氧化氢酶、超氧化物歧化酶等), 这些活性氧物质伴随着新陈代谢而产生, 被细胞内的谷胱甘肽 (GSH)、维生素C 等抗氧剂消耗而解除毒性。许多活性代谢物无需结合生物大分子就能参与活性氧物质代谢循环,引起细胞内氧化过载以及DNA 受损, 导致药物产生毒性。
1.3 与功能性蛋白质结合
活性代谢物能够与细胞内许多功能性蛋白质共价结合, 改变其空间构象, 从而影响其正常的生理功能, 导致细胞损伤。但是蛋白功能活性降低或丧失的过程并不是简单的单一机制或级联反应, 详细的生物学过程仍有待进一步研究。
1.4 与谷胱甘肽结合
谷胱甘肽 (GSH) 是细胞内最主要的内源性抗氧化物质, 维持着细胞内的氧化还原电势, 使许多带有巯基 (-SH) 基团的氧化敏感蛋白质保持其正常的生物功能。
谷胱甘肽的生理功能十分广泛, GSH 可直接通过供H+拮抗氧自由基的毒性, 清除体内的超氧离子及其他自由基, 防止肝细胞损伤; 谷胱甘肽的亲核性基团巯基与外源性亲电物质结合, 对红细胞膜具有保护作用, 可防止溶血; GSH 还能调节乙酰胆碱和胆碱酯酶之间的平衡, 从而消除过敏症状。
当药物产生的活性代谢物过量地消耗细胞内GSH 后, 会破坏细胞内原有氧化还原电势, 造成细胞内 (尤其是肝细胞) 的氧化紊乱, 许多功能性蛋白被氧化失活而导致细胞死亡, 进而产生毒性作用。
2
常见警惕结构
警惕结构是指本身对生物大分子无影响, 但通过体内I 相或II 相代谢酶系催化可产生活性代谢物(RM), 进而引起毒性风险的功能基团或结构片段。本文从文献报道及美国食品药品监督管理局 (FDA) 的公示文件中, 以代谢位置的原子相关性分类, 总结了药物中常见的警惕结构 (表1)。


对于本身具有强亲电性的化学结构 (例如: 醛基、α, β-不饱和酮或酯、亚硝基化合物、羟肟结构、醌类等), 极易与体内生物大分子结合, 因此, 这些结构片段在药物中不常出现, 同时在药物发现与设计阶段也应尽量规避。
3
降低警惕结构潜在毒性的改造策略
鉴于警惕结构潜在的毒性风险, 在先导化合物的研发过程中, 对警惕结构进行结构优化是降低先导化合物潜在毒性的有效方法。
主要包括两种思路:一种思路是去除药物中的警惕结构。如果警惕结构不是药物的药效团, 去除警惕结构既可简化分子, 又可降低毒性; 如果警惕结构对活性至关重要, 或是必需的连接片段, 可以考虑运用生物电子等排的原理, 将易代谢的警惕结构用弱代谢基团进行生物电子等排体替换, 达到降低毒性的目的。另一种思路是对警惕结构进行结构修饰, 通过引入钝性基团封闭代谢位点或者引入更易代谢的基团, 改变化合物的原有代谢路径, 使其不能产生活性代谢物, 阻断其毒性代谢途径 (图2)。

具体而言, 警惕结构的优化改造策略主要包括: 封闭代谢位点、改变代谢途径、降低反应性、生物电子等排以及前药原理等。
3.1 亚胺-醌类结构的改造策略
含有供电子取代基的苯环, 由于电子云密度高易被体内的氧化酶系氧化生成亚胺−醌类结构, 进一步与GSH 等活性蛋白过量结合引发毒性。例如, 对乙酰氨基酚 (paracetamol) 的酚羟基易被氧化代谢成亚胺−醌类物质而与GSH 结合, 产生毒性。
3.1.1 增加代谢位点位阻
针对易被氧化代谢的酚羟基, 可以通过在氧原子上引入位阻基团, 增加代谢难度, 阻碍亚胺−醌类活性结构的产生。长期服用解热镇痛消炎药物非那西丁 (phenacetin, 1) 可损害肾脏,甚至诱发癌症, 许多国家已经禁止其销售。
从结构上分析, 该化合物含有富电性苯环, 易代谢成亚胺−醌类活性代谢物, 从而导致临床上出现毒副作用。但是非那西丁实际体内的代谢途径与预测并不相同。进入体内后, 大部分转化成N-去乙酰化代谢产物3 和N-羟基化代谢产物4, 进一步氧化成亚硝基化合物5 (图3)。

临床使用也表明非那西丁不具有肝毒性, 其退市的主要原因是亚硝基化合物引起的“痛觉迟钝性肾炎”。非那西丁与对乙酰氨基酚的差别在于用乙基保护原结构中的酚羟基, 增大了酚羟基的代谢位阻, 使代谢位点转移到氨基基团, 阻碍了亚胺−醌结构的产生。虽然非那西丁并不算是成功规避毒性的药物, 但其阻断醌类物质形成的机制值得借鉴。
3.1.2 封闭代谢位点
在先导化合物结构优化中,通过封闭代谢位点阻止氧化代谢发生, 减少先导化合物的潜在毒性是常见的结构改造策略。
阿莫地喹(amodiaquine, 6) 用于治疗疟疾, 尤其是针对恶性疟原虫引起耐药性疟疾。临床研究结果表明: 阿莫地喹进入体内被肝内CYP 酶系和过氧化酶 (MPO) 氧化成亚胺−醌类活性代谢物质7, 化合物7 与GSH 结合引起肝毒性和血液病, 因此阿莫地喹被FDA 黑框警告。但对阿莫地喹的研究并没有终止, 采用氟原子替换羟基 (8) 或将氮上的两个乙基换成叔丁基 (9和10), 都得到了毒性降低的化合物。
这些化合物在体内均未检测到醌−蛋白复合物, 其主要原因是化合物8 采用氟原子封闭羟基的氧化位点, 使其难以氧化为亚胺−醌; 化合物9 和10 引入极易代谢的N-叔丁基改变了阿莫地喹原有的代谢途径 (图4)。

3.1.3生物电子等排
亚胺−醌类结构产生的主要原因是富电子化苯环易被氧化。采用生物电子等排的原理, 利用N 杂芳香杂环替代苯环, 增加氧化难度,图4能够减少醌类结构的产生。曲格列酮 (troglitazone,11) 由于肝脏毒性受到黑框警告, 并于2000 年5 月被FDA 撤市。
曲格列酮含有两个警惕结构基团: 其一是左侧易产生醌类的富电性苯环, 其二是右侧的噻唑二酮结构片段, LC-MS/MS 检测到曲格列酮代谢产生的活性代谢物与蛋白质的共价复合物。后续上市的PPARγ 激动剂吡格列酮 (pioglitazone, 12) 和罗格列酮 (rosiglitazone, 13) 的肝毒性报道较少, 药物毒性大幅下降。采用吡啶环替代含酚羟基的苯环, 增加了氧化难度, 阻碍醌类结构产生; 同时由于吡格列酮 (30 mg·d-1) 和罗格列酮 (<20 mg·d-1) 的日服用剂量远远低于曲格列酮 (200~600 mg·d-1), 降低了毒性风险 (图5)。

精神病治疗药物奈法唑酮 (nefazodone, 14) 1994年上市, 但由于大量的肝毒性病例报道, 最终在欧洲撤市, 美国市场也受到黑框警告。奈法唑酮肝毒性产生原因如图6 所示。
奈法唑酮被体内CYP3A4 氧化,得到4-羟基氧化代谢产物15, 进一步氧化得到对亚胺−醌类代谢产物16, 活性代谢物16 本身可与GSH结合产生毒性, 也可继续代谢成活性更强的化合物17, 增加毒性风险。
丁螺环酮 (buspirone, 18) 与奈法唑酮结构相似, 二者都含有哌嗪取代的疏水性芳香结构片段以及与酶特异性结合的功能性片段, 但丁螺环酮上市以来, 并未有由药物诱发肝毒性的报道。推测其原因为嘧啶环等排替代苯环后, 增加氧化难度, 阻碍了亚胺−醌结构的产生, 减少了肝毒性风险(图6)。
3.1.4 改造中的注意事项
应用上述策略的同时还应注意取代基对芳环反应性的影响, 否则仍可能产生亚胺−醌类结构。广谱抗菌药甲氧苄啶 (trimethoprim, 20)和首个EGFR 酪氨酸激酶抑制剂吉非替尼 (gefitinib,23) 是该类结构改造的代表 (图7)。

甲氧苄啶虽然含有嘧啶环, 并且采用甲基保护酚羟基, 看似难以产生亚胺−醌类活性代谢物, 但在实际体内代谢过程中,由于嘧啶环上两个强供电子基团氨基的活化作用, 使得甲氧苄啶在CYP 酶氧化作用下得到杂环亚胺−醌类结构而产生毒性。
吉非替尼于2003 年上市用于治疗非小细胞肺癌。吉非替尼苯环的对位采用氟原子封闭代谢位点, 但不能阻止亚胺−醌类毒性结构的产生。受邻位氯原子的影响, 在CYP3A4 的氧化作用下, 氟原子离去被羟基替代而活化苯环, 产生亚胺−醌类毒性结构25, 化合物 25 进一步与谷胱甘肽结合产生毒性。
3.2 芳香酸类结构的改造策略
芳香酸类结构片段主要存在于一些含羧基、酯类结构的药物中, 多见于非甾体抗炎药。芳香酸在体内通过葡萄糖醛酸转移酶催化的一系列代谢反应, 与蛋白质等活性生物大分子结合而引起严重的肝毒性,上市的非甾体抗炎药中已有5 种药物退出美国市场(溴芬酸、佐美酸、异丁芬酸、吡洛芬和苯恶洛芬)。
该类结构的代谢通式如图8 所示: 药物经葡萄糖醛酸转移酶催化, 首先形成1-O-β-葡萄糖酸苷27, 化合物27 经多步反应得到3-O-β-葡萄糖酸苷28, 其互变异构体29 与体内蛋白结合形成蛋白−糖苷30, 最后经阿马多尔重排使葡萄糖酸苷与蛋白质稳定结合, 阻碍蛋白质功能而导致细胞凋亡。

由于 β-葡萄糖苷化是芳香酸类化合物在体内代谢的关键环节, 其本质是羟基氧原子亲核进攻羧基的碳原子, 如果能降低酸度或增大羧基反应位阻, 均能影响羧基的反应活性, 减少对体内蛋白质的影响。
3.2.1 增加位阻减少“葡萄糖酸苷”生成
异丁芬酸 (ibufenac, 32) 和布洛芬 (ibuprofen, 33) 均为非甾体抗炎药物, 异丁芬酸由于肝毒性已经从美国市场撤市, 但布洛芬安全性良好, 仍是畅销药物。二者的化学结构极为相似, 唯一的区别是布洛芬在羧基的α 位引入甲基, 二者的乙酰糖苷化降解速率的差异,使布洛芬更难形成“葡萄糖酸苷”(图9)。

3.2.2 减弱酸性减少“葡萄糖酸苷”生成
从结合蛋白质的过程可以看出, 1-O-β-葡萄糖酸苷转变成3-O-β-葡萄糖酸苷是这一转化的关键步骤, 这一步反应速率越快, 越利于与蛋白质的结合 (图10)。
若降低这一反应的反应速率, 可减弱芳香酸对蛋白质的破坏作用。对于不同取代基的1-O-β-苯甲酸葡萄糖酸苷的酰基转移反应速率常数 (k) 研究显示: 化合物酸性与迁移速率常数 k 呈正相关。
从表2 中可以看出,随着酸性的减弱, 迁移速率递减。
较强供电子基团取代可以减弱酸性, 有效降低迁移速率常数k, 从而减少3-O-β-葡萄糖酸苷的形成, 降低结构潜在毒性风险。
3.3 杂环类化合物结构改造策略
呋喃环、噻吩环、吡咯环等富电性芳香杂环由于电子云密度较高, 尤其当2, 3-位 (或4, 5-位) 无取代时, 易被体内氧化酶氧化, 生成亲电性基团产生肝肾毒性。以替尼酸 (tienilic acid, 37) 为例, 其代谢途径主要代谢位点在噻吩环C-5 位, 在CYP2C9 的催化作用下, C-5 位既可以被大分子亲核基团进攻, 又可进行双键的环氧化, 由于C-5 位与生物大分子结合,产生CYP 酶抑制和肝损伤等毒副作用。
与替尼酸类似, 氯吡格雷 (clopidogrel, 38) 和噻氯匹定 (ticlopidine, 39) 均含有未取代的噻吩环, 易被氧化代谢而存在潜在毒性风险。实际临床应用中也证实, 这两种药物都具有较强的毒副作用。氯吡格雷和噻氯匹定分别由于心脏疾病风险和血液病而受到黑框警告 (图11)。

通过上述分析看出, 富电性杂环潜在的毒性风险主要原因在于未取代的杂环位点易发生氧化开环,进一步产生亲电性强的活性代谢物。因此, 针对此类杂环的改造策略十分明确, 在活性代谢位点引入取代基团, 通过封闭代谢位点和改变体内代谢途径降低化合物的毒性。
3.3.1 引入易代谢基团改变代谢途径
非甾体抗炎药物舒多昔康 (sudoxicam, 40) 由于肝毒性已经在美国撤市。药代动力学研究表明: 由于舒多昔康的噻唑环4, 5-位无取代基, CYP 酶氧化为化合物41 和42, 化合物42 氧化开环释放出亲电物质乙二醛, 影响细胞内生物大分子的活性。
在舒多昔康噻唑环的5-位引入甲基取代, 得到美洛昔康 (meloxicam, 44), 甲基的引入阻碍了氧化代谢途径, 使其与舒多昔康具有完全不同的噻唑环代谢方式, 从而减少了毒性风险(图12)。

3.3.2 前药设计封闭代谢位点
前药修饰能够改善药物代谢性质、增强靶向性、降低药物的毒副作用。分析药物结构特点和体内代谢方式, 巧妙的引入前药设计能有效降低药物毒性风险。对氯吡格雷代谢中间体的氯吡格雷硫代内酯采用前药策略进行改造,得到维卡格雷 (vicagrel, 47), 该药仅需一步CYP450酶代谢即可转化成活性中间体, 克服氯吡格雷抵抗的同时不会增加出血风险。
氯吡格雷临床应用中发现, 其心脏毒性风险与氯吡格雷抵抗相关, 而维卡格雷由于引入前药基团, 无需CYP2C19 代谢成硫代内酯形式, 能够有效减少氯吡格雷抵抗 (图13)。同时由于维卡格雷起效剂量更低, 大大降低了毒性风险。

3.3.3 其他杂环类结构的改造策略
含有苯并含氮杂环结构的药物存在产生活性代谢物的风险。抗抑郁药物氯氮平 (clozapine, 51) 疗效显著, 但由于其日服用剂量较高 (300~900 mg·d-1) 及其结构的特殊性, 具有较强的肝毒性。
氯氮平进入体内后, 在CYP氧化酶的作用下氧化成亚胺−醌类化合物52, 化合物 52 与生物大分子结合引发肝毒性和血液病等副作用。
其同类药物喹硫平 (quetiapine, 54) 与其结构相似, 区别在于用硫原子替换二氮杂䓬环中的一个氮原子, 使其难以氧化形成亚胺−醌类结构55, 减少毒性风险 (图14)。

3.4 易代谢生成醛类结构的改造策略
3.4.1 典型结构举例
当碳原子处于端位且被多个卤素原子取代时 (F 原子除外), 易被体内酶系氧化成醛或酰氯, 使得该类结构存在与生物大分子结合的风险。由于骨髓毒性已经不再口服使用的氯霉素(chloramphenicol, 56) 是这类结构的典型代表。其末端双氯取代碳原子在CYP 酶的作用下羟化, 脱去一分子氯化氢形成酮酰氯58, 与生物大分子结合产生毒性 (图15)。
当碳原子被易代谢的杂原子 (如酯、酰胺、位阻小的仲胺、叔胺等) 取代时, 其α 位应当避免引入不饱和碳−碳键, 否则在体内存在产生α, β-不饱和结构的风险。抗真菌药物特比萘芬 (terbinafine, 59) 正是因此而产生肝毒性和血液毒性。
特比萘芬进入体内,在CYP450 酶作用下叔胺基团发生氧化断键, 形成α, β-不饱和醛60, 化合物60 作为Michael 受体本身具有很高的亲核活性, 通过1, 4-加成或1, 6-加成形成共价复合物 62 和63, 过量消耗GSH 而产生毒性(图16)。
3.4.2 改造策略——引入F 原子封闭代谢位点
通常在易代谢位置引入F 原子可以降低代谢产生的风险。非尔氨酯 (felbamate, 64) 是1993 年上市的治疗癫痫的药物, 自其上市以来, 有大量的肝毒性和再生性贫血障碍的病例报道, 也因此受到FDA 的黑框警告。
其代谢途径如图17 所示, 非尔氨酯进入体内, 在体内酯酶的作用下一分子酰基水解得到65, 随后被醛脱氢酶氧化成醛67, 其互变异构体68 可通过电子转移脱氢得到α, β-不饱和醛而产生毒性。

其同系物氟代非尔氨酯 (fluorofelbamate, 69) 在代谢位点引入F原子, 与非尔氨脂相同, 69 也通过同样的途径代谢生成含醛产物72。但F 原子的引入, 使得72 在互变异构体中不能进行脱氢转变, 阻碍了α, β-不饱和醛的产生, 降低了药物毒性。
3.5 芳香硝基类化合物结构优化策略
3.5.1 引入双键改变代谢途径
由于硝基在体内易发生还原反应产生毒性, 因此含有硝基的药物也具有一定的毒性风险。治疗帕金森综合症药物托卡朋(tolcapone, 74) 1998 年在美国上市, 临床研究表明:托卡朋具有严重的肝毒性, 目前已经被FDA 强制撤市。
虽然托卡朋体内的主要代谢途径是被葡萄糖醛酸化而代谢出体外, 但仍有一部分的托卡朋在体内经还原酶将硝基还原成芳胺74, 进而被CYP 氧化与GHS 结合, 或经N-乙酰化后被氧化成醌类结构75,与体内活性亲核蛋白结合。在人肝微粒体中均能检测到蛋白的复合物76 和79。与托卡朋类似的恩他卡朋 (entacapone, 80) 并没有表现出与其相似的毒性。
恩他卡朋同样含有芳香硝基和儿茶酚结构片段, 甚至取代基位置都一样, 但其体内代谢研究结果表明:绝大部分恩他卡朋首先发生双键的顺反异构化, 然后经儿茶酚途径代谢出体外 (图18)。

推测上述结果主要有两个原因: ① 由于引入更易代谢的基团, 改变了芳香硝基的代谢途径; ② 双键顺反异构化导致了恩他卡朋不能作为还原酶的底物而被识别。
3.5.2 吡啶环等排替代
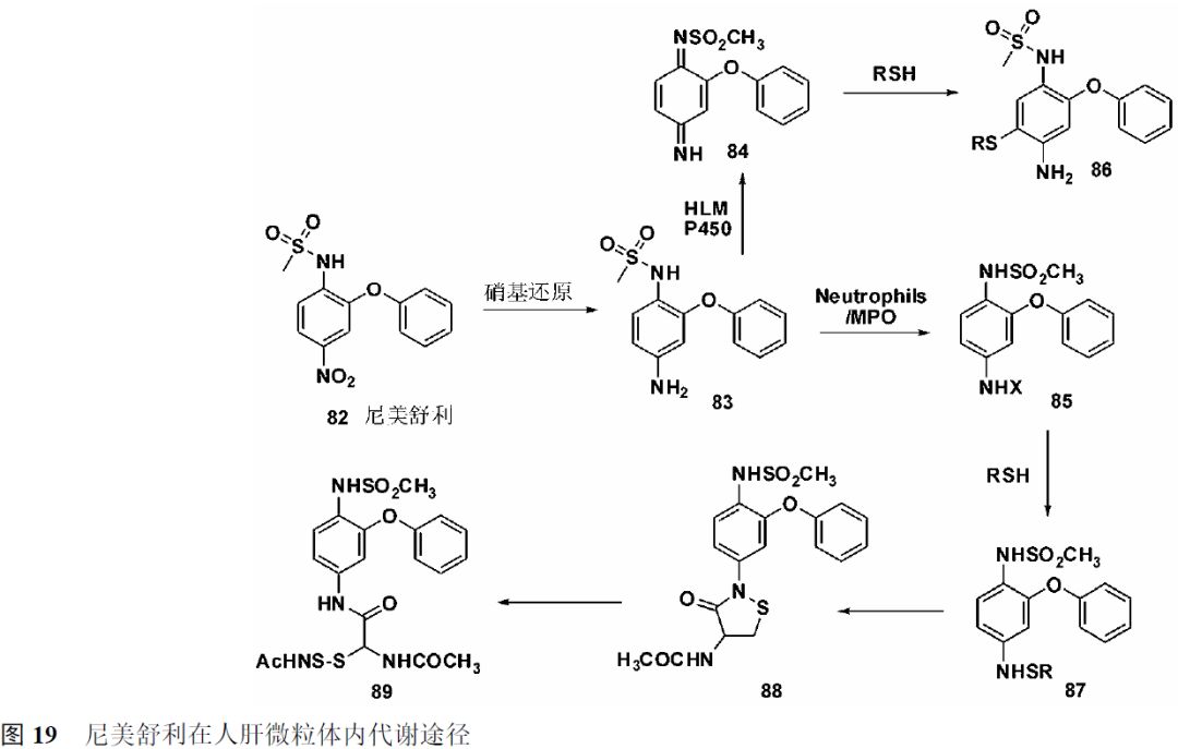
尼美舒利 (nimesulide, 82)作为COX-2 选择性抑制剂, 具有显著的抗炎、解热作用。但上市以来, 肝毒性病例报道不断增加, 已在芬兰、比利时和西班牙撤市。随后由于“尼美舒利事件”, 中国在2011 年发布通知, 禁止12 岁以下儿童使用尼美舒利口服制剂。
尼美舒利产生肝毒性的分子学机制尚不完全明确, 但是尼美舒利在肝中的代谢产物, 尤其是硝基还原产物与其毒性密切相关。
研究表明: 在人肝微粒体中, 芳香硝基还原后产物83可经P450 酶和单胺氧化酶氧化成醌亚胺类结构84和亲电产物85。代谢物85 可进一步与体内一些强亲核物质 (例如蛋白质、DNA 等) 共价结合, 从而可能导致肝毒性的产生 (图19)。

在后续对尼美舒利的改造研究中发现, 将硝基苯结构生物电子等排成吡啶环结构 (91), 能够提高酶水平活性和选择性, 同时能够保持在大鼠体内的抗炎活性 (表3、4)。

这一策略的应用成功避免了芳香硝基结构, 使得先导化合物的预期毒性风险显著降低 (图20)。

3.6 药物剂量与毒性的初步关系
由于不同药物的吸收、分布、代谢、蛋白结合率千差万别, 所以对于将安全药物和产生毒性药物的剂量进行比较分析十分困难, 也更加难以定义一个对于所有药物研发的安全剂量标准。但通过对大量上市药物剂量分析, 安全药物的日服用剂量远远低于产生毒性药物的日服用剂量。
对具有肝毒性药物日服用剂量进行统计, 结果表明: 日服用剂量低于100 mg·d-1的仅占8%, 高于200 mg·d-1的占80%以上。对美国市场撤市或者受到黑框警告的药物进行统计, 日服用剂量高于100 mg·d-1 的药物分别占84%和 81%。
从以上分析可以看出, 低起效剂量是安全药物的一个趋势。如果先导化合物中含有某些难以改造的警惕结构时, 可以从另外的角度着手, 增强先导化合物的活性, 降低起效剂量, 从而推动先导化合物的进一步研发。
抗精神病药物安奈普汀 (amineptine, 92) 含有警惕结构脂肪酸, 由于脂肪酸的代谢产生肝毒性(图21),已被FDA 撤市。

其同类药物噻奈普汀(tianeptine, 93)与安奈普汀代谢途径相似, 但由于其日服用剂量仅为37.5 mg, 肝毒性较低, 仍然是临床重要的抗精神病治疗药物。
对氯氮平 (51) 毒性规避的另一种方法是提高活性, 降低服用剂量。奥氮平 (olanzapine, 94) 是应用此种策略的成功例子, 其日服用剂量从最高900 mg·d-1降低到10 mg·d-1, 下降了 90 倍(图22)。

由于奥氮平具有良好的临床疗效和安全性, 在 2010 年全美top200销售药物中排名第 13。
4
结论
随着对新药安全性要求的日益增高, 安全性研究在整个药物研发物过程中所占的比重也日益加大。对大量药物毒副作用研究发现, 由警惕结构代谢出的活性代谢物是诱发药物毒性的关键因素。鉴别出警惕结构并对警惕结构进行合理结构改造, 减少活性代谢物的产生是许多制药公司进行先导化合物结构优化时采取的重要结构改造策略。熟悉常见警惕结构,了解对这些警惕结构的基本改造策略, 对于药物的安全性评价研究和先导化合物结构优化具有重要意义。
虽然警惕结构的存在增加了药物的毒性风险, 同时活性代谢物与药物毒性有着密切的联系, 但并不是所有的活性代谢物都会引发药物的毒副作用。目前尚不能精准预测含有警惕结构是否一定会在体内代谢生成活性代谢物诱发毒性, 但是随着对活性代谢物引发药物毒性机制的深入研究和阐明, 势必给警惕结构的化学结构改造提供明确的方向和适合的方法, 使其成为合理药物设计与改造的有力工具。
来源:药学学报 2014, 49 (1): 1−15
标签: 先导化合物










还木有评论哦,快来抢沙发吧~