之前的三章内容,我们聊了很多芳香杂环上发生的反应,大家也对HOMO、LUMO这些常见的量子化学概念渐渐熟悉起来,并没有想象中那么难吧?
今天我们来看一例底物是饱和六元环的反应。如图一所示,对多取代的哌啶进行烷基化反应,4-位甲基化后这个手性中心的构型是R构型还是S构型呢?

图一. (2R,4S)-2-甲基哌啶-1,4-二羧酸甲酯的烷基化反应
涉及到饱和六元环,尤其是手性构型相关的反应,往往需要提前考虑反应物的空间立体结构。
船式、椅式、半椅式,老师让你画的结构转换图、能量变化图还记得吗?
OK,你说应该在平伏键,那有多个取代基的情况呢,怎么考虑彼此之间的空间位阻效应呢?
同时考虑这么多变量和参数颇有挑战性。
今天我们的QM小课堂买一送一,给大家讲讲如何同时利用三维的构象分析,和HOMO Map这一工具,分步解决图一中烷基化产物手性预测的问题。学到就是赚到哦!
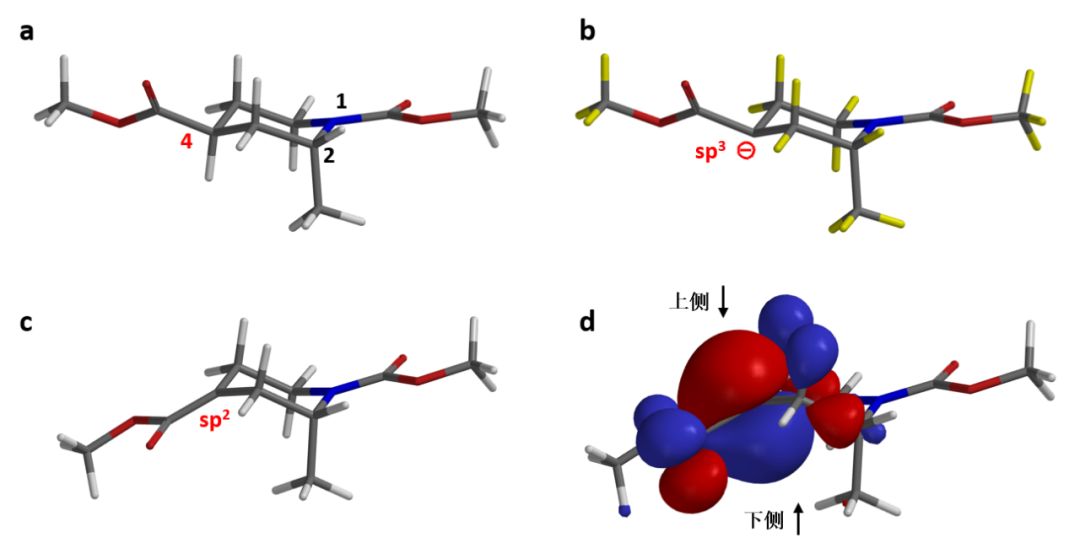
第一步,我们利用计算软件Spartan中“构象分布”(Conformer Distribution)的功能,获得这个多取代哌啶的优势构象,即图二-a。我们可以看到,1-和4-位的甲基甲酸酯都处于平伏键位置,这也基本和我们的认知一致(N-Boc、N-酰基一般都处于平伏键的位置),而2-位的甲基由于受到1-位N-甲基甲酸酯的影响,处于直立键位置。
图二. a. 底物低能构象 b. 底物中间体4-位去除氢原子
c.量化计算后所得底物中间体烯醇形式的构象
d. 量化计算后所得底物中间体烯醇负离子的HOMO第二步,我们需要仔细分析反应进程。这一个烷基化反应,主要是靠强碱LDA拔去4-位酯基α碳上的氢原子,形成碳负离子。所以这里,我们去除4-位氢原子,得到碳负离子中间体的初始结构(图二-b),再用量化方法计算该中间体的平衡构象以及HOMO,结果如图二-c和图二-d所示。是的,尽管我们输入的是一个sp3杂化状态的4-位碳负离子(图二-b),但是量化计算评估到该碳负离子紧挨着酯基,会产生共轭效应,所以实际上这个中间体会是一个平面的、sp2杂化状态的4-位烯醇负离子(图二-c)。可见量化计算是很靠谱的!第三步,图二-d显示,这个中间体的4-位碳有着毋庸置疑的最大的HOMO lobe,而且上下侧的HOMO lobe大小很接近,碘甲烷会从哪侧进攻呢?有些经验的同学已经发现,从下侧进攻应该会被2-位的甲基阻挡吧?对,这样可能会产生1,3-diaxial interactions(这是syn pentane interactions的一种典型代表,详见文献[3])接下来我们会使用HOMO Map这一工具,进一步证实你的猜测!

图三. 底物中间体烯醇负离子的HOMO Map及上、下侧视图
注:HOMO Map是将HOMO映射到分子形状表面;Inaccessible Markers (dots)为分子表面某些区域所覆盖的密集点在HOMO Map中,由绿色至红色区域,绿色表示该HOMO lobe更容易接近,发生亲电反应的概率更大。同时Spartan软件提供了一个很有用的参数,就是“不可接近标识”(Inaccessible Markers),具体表现为分子表面某些区域会覆盖有密集点,表明该区域无法接近。从图三中我们可以观察到,4-位平面的下侧,由于受到2-位甲基的挤压,完全被密集的“不可接进标识点”覆盖,表示反应物无法从下侧接近HOMO lobe,而4-位上侧的进攻方向则毫无障碍,这就非常直观地验证了我们之前的判断,碘甲烷只能从底物4-位的上侧进攻,最终我们会得到4-位R构型的产物(图四)。

图四. 底物4-位烷基化得到(2R,4R)-2,4-二甲基哌啶-1,4-二羧酸甲酯
本次小课堂,虽然分析量很大,可是思路还是很清楚的,你都跟上了吗?总结一下,对于涉及饱和六元环的反应物,我们可以利用计算软件评估取代基的位置以及底物的低能优势构象,再结合我们已经学过的HOMO,同时充分考虑原子体积的影响,就可以直观地判断空间位阻效应,正确预测产物的构型。
今日的课后习题我们来看一个类似的案例。

上图所示反应中,对连接着氰基的1-位碳进行烷基化。按照我们今天分析的步骤,可以很容易地预测产物中1-位的构型哦!从底物的低能构象里可以看到,拔氢后的1-位碳上、下侧的HOMO lobe大小接近,然而下侧方向由于受到4a-甲基的影响(同样也是syn pentane interactions),碘甲烷只能从上侧进攻,最终得到1-位R构型的产物。
温馨小提示:
插播完HOMO Map与构象分析,接下来的两个章节,我们会为大家介绍,如何对多取代的杂环分子进行逆合成分析,设计合理的合成路线,敬请期待!
参考文献:
[1] Warren J. Hehre (2003). A Guide to Molecular Mechanics and Quantum Chemical Calculations. Irvine, CA, USA: Wavefunction, Inc.
[2] Spartan’18 Tutorial and User’s Guide (2019). Irvine, CA, USA: Wavefunction, Inc.
[3] R.W .Hoffmann, Angew. Chem. Int. Ed. Engl., 1992, 31, 1124.
版权声明:本网站发布的内容如果涉及侵权请尽快告知,我们将会在第一时间删除。
还木有评论哦,快来抢沙发吧~